Figure 11
From: Physical simulation for water invasion and water control optimization in water drive gas reservoirs

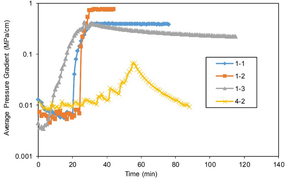
Average pressure gradients at different times in the near-wellbore zone of the Group I.
From: Physical simulation for water invasion and water control optimization in water drive gas reservoirs

Average pressure gradients at different times in the near-wellbore zone of the Group I.