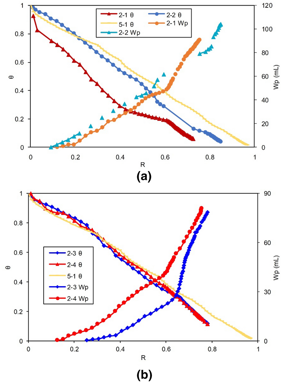
Figure 14
From: Physical simulation for water invasion and water control optimization in water drive gas reservoirs

Relationship between relative apparent pressure of the formation and \({\text{R}}\): (a) drainage Experiments 2-1 and 2-2 in the LFZ, and (b) drainage Experiments 2-3 and 2-4 in the SFZ.