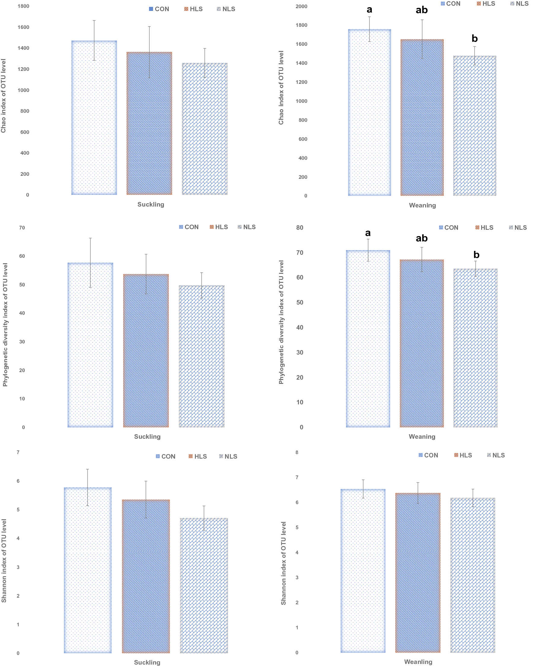
Figure 3

Differences in the fecal microbial species richness and diversity indices (Chao 1, Shannon, OTU; ≥ 97% sequence similarity threshold) per treatment. Different superscript letters indicate significant differences (P < 0.05).

Differences in the fecal microbial species richness and diversity indices (Chao 1, Shannon, OTU; ≥ 97% sequence similarity threshold) per treatment. Different superscript letters indicate significant differences (P < 0.05).