Figure 2
From: Strain-induced modulation of temperature characteristics in ferrimagnetic Tb–Fe films

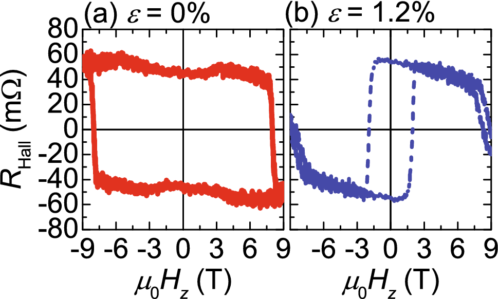
Anomalous Hall resistance curves of the Tb–Fe sample measured at 260 K without and with the strain (ε = 0% and 1.2%, respectively).
From: Strain-induced modulation of temperature characteristics in ferrimagnetic Tb–Fe films

Anomalous Hall resistance curves of the Tb–Fe sample measured at 260 K without and with the strain (ε = 0% and 1.2%, respectively).