Figure 4

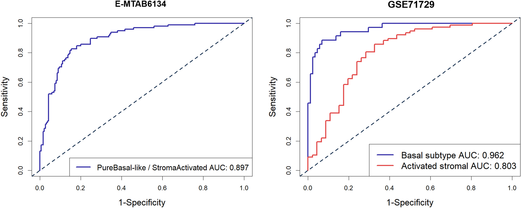
The 14-gene signature robustly identifies poor molecular subtypes in pancreatic cancer. Using the datasets E-MTAB-6134 and GSE71729, and a higher AUC value between 0.8 and 0.96 could be achieved by using the 14-gene signature.

The 14-gene signature robustly identifies poor molecular subtypes in pancreatic cancer. Using the datasets E-MTAB-6134 and GSE71729, and a higher AUC value between 0.8 and 0.96 could be achieved by using the 14-gene signature.