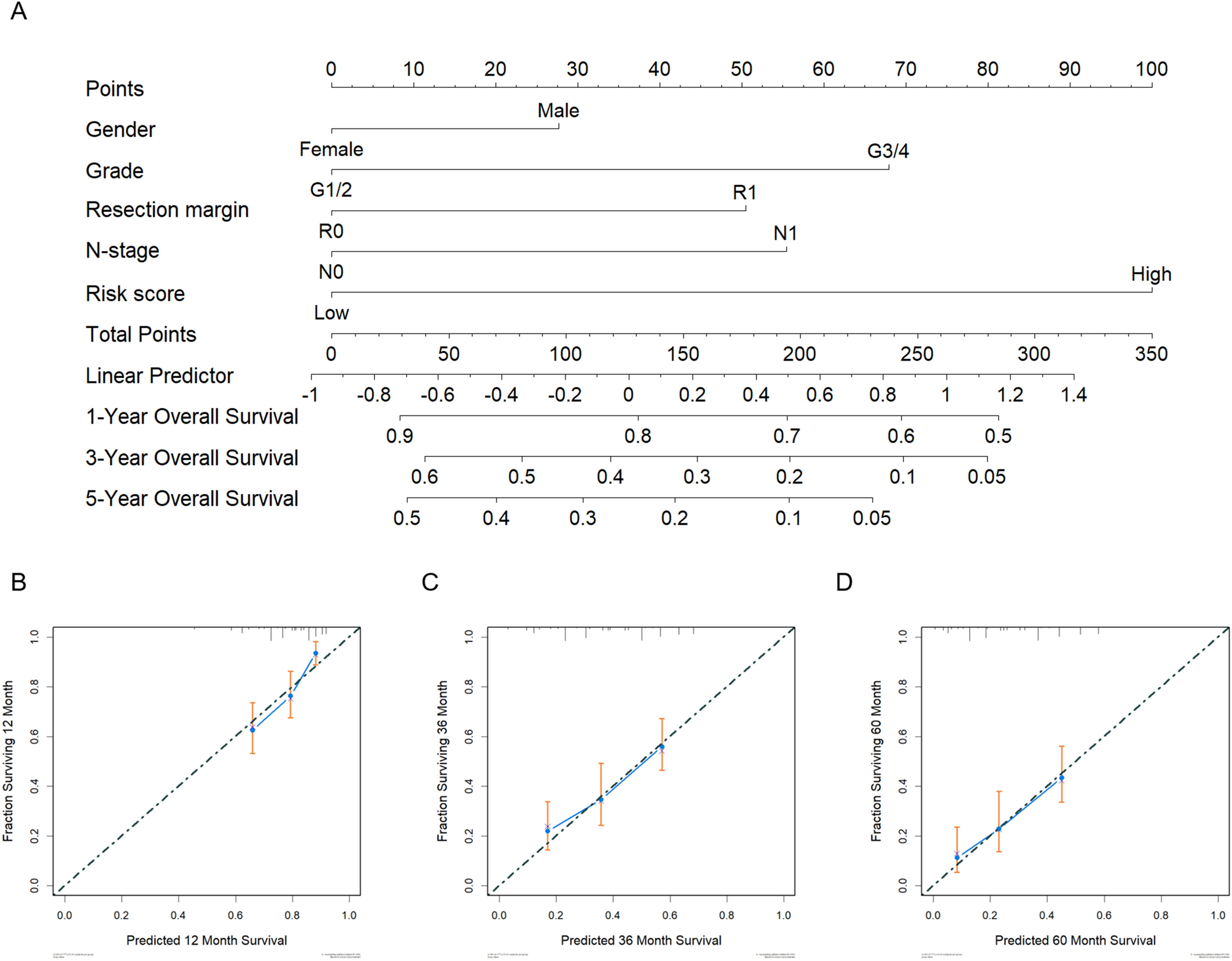
Figure 5

Nomograms Predicting Survival by 14-gene signature in pancreatic cancer patients. (A) The nomogram for 1-, 3- and 5-year overall survival prediction was established based on 4 independent prognostic factors; (B,C,D) Calibration plots for predicted and actual 1-, 3- and 5-year overall survival probabilities comparison. The 284-patient bootstrapped calibration plot for 1-, 3- and 5-year overall survival prediction is exhibited. The dotted line stands for the ideal fit; circles stand for nomogram-predicted probabilities; stars stand for the bootstrap-corrected estimates; and error bars stand for the 95% CIs of these estimates.