Figure 4
From: Kinetics of plasma cfDNA predicts clinical response in non-small cell lung cancer patients

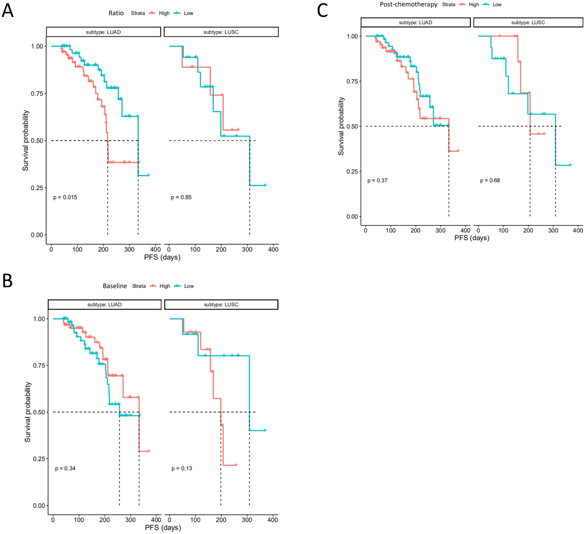
Progression-free survival (PFS)/disease free survival (DFS) analysis by pathological subtype. Stratification analysis of PFS/DFS by pathological subtype (LUAD, N = 128 and LUSC, N = 26) (A) high cfDNA Ratio and low cfDNA Ratio groups, (B) high cfDNA baseline and low cfDNA baseline groups, (C) high post-therapy cfDNA and low post-therapy cfDNA groups (cut-values were set as median value), respectively. PFS/DFS was assessed according to Response Evaluation Criteria in Solid Tumors, version 1.1 through investigators’ review, and tick marks represent data censored at the last time the patient was known to be alive and without disease progression.