Figure 3
From: A surface plasmon resonance based approach for measuring response to pneumococcal vaccine

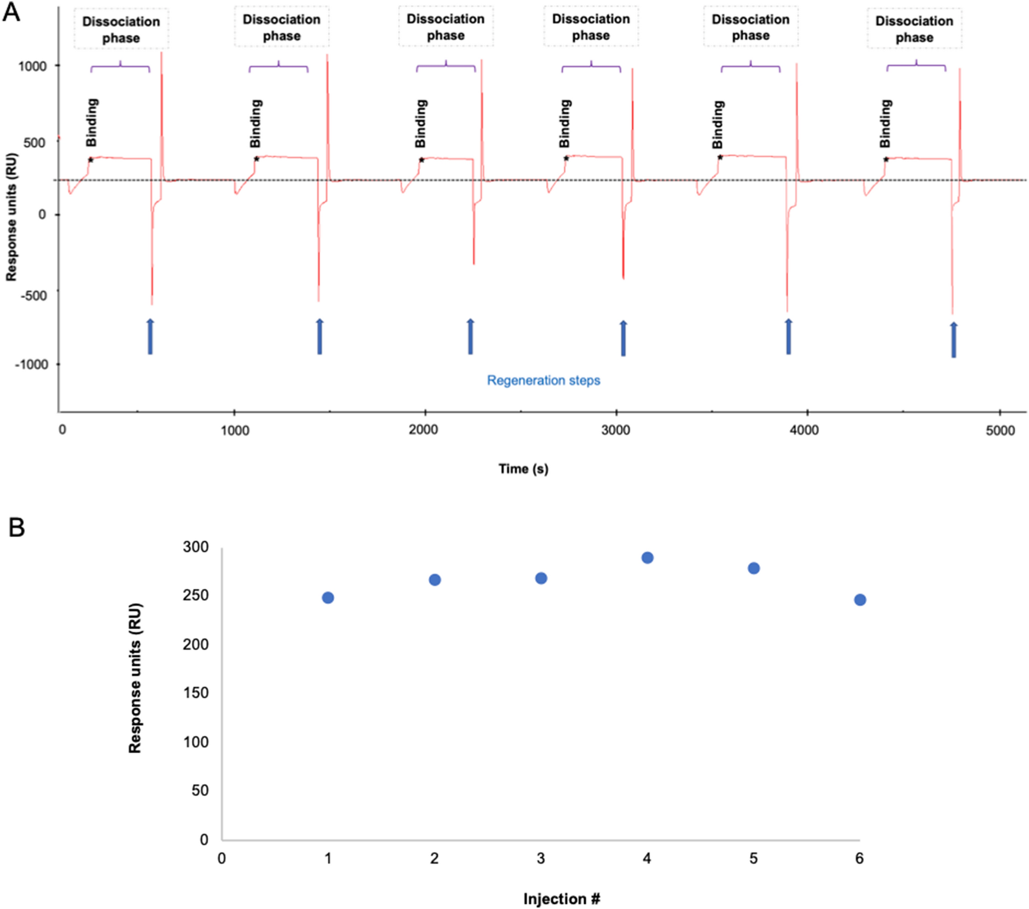
Efficacy of chip regeneration following repeated injections. (A) SPR sensorgrams of 6 consecutive injections for the same 1:8 diluted serum sample. Blue arrows indicate regeneration steps after each individual injection; (B) Graphical representation of SPR response obtained after each injection and its dependency with the injection number. * Binding report point refers to the maximum level of RU obtained after serum injection.