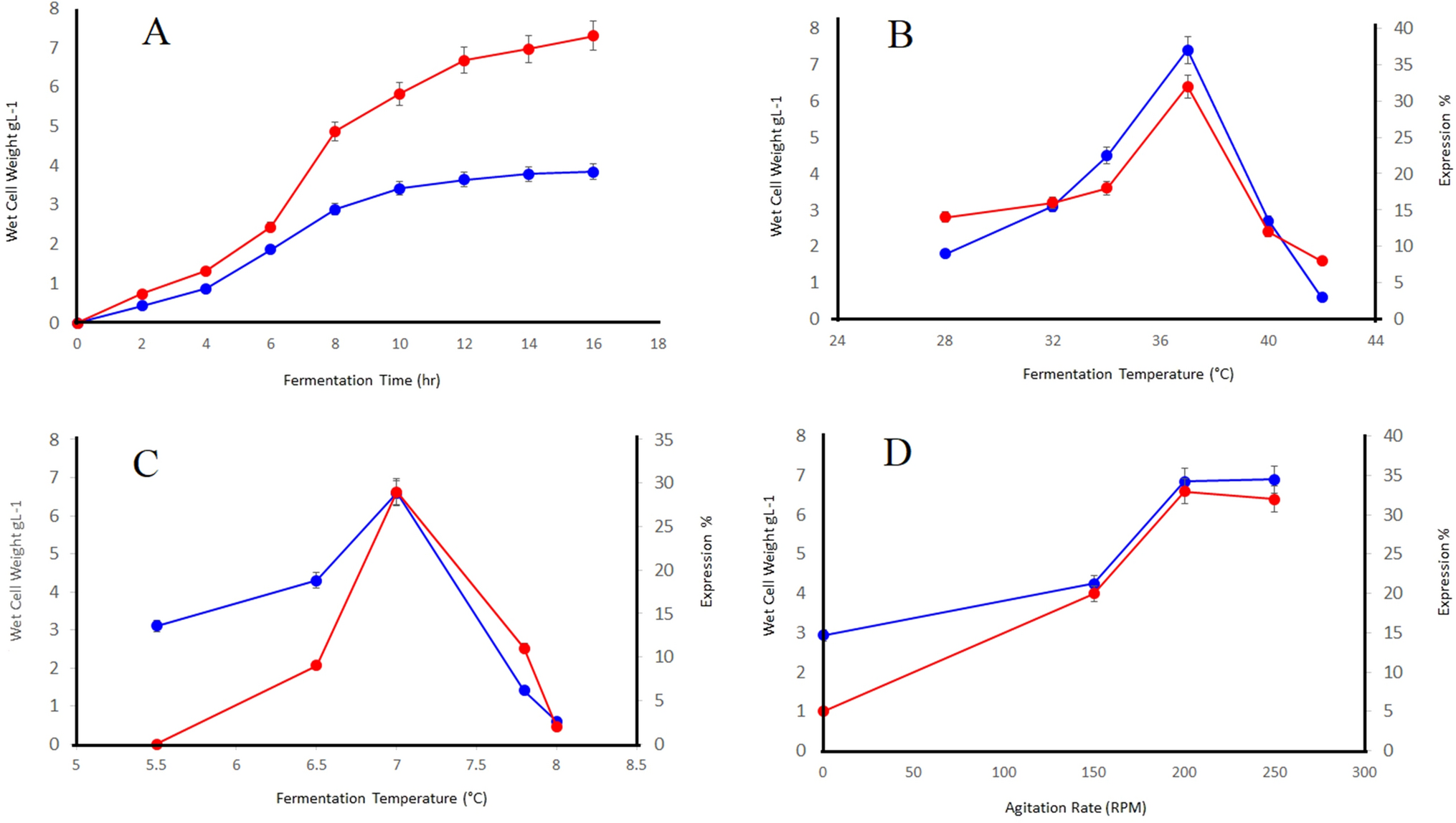
Figure 3

(A) Time course of recombinant cellulase fermentation by E. coli BL21 (DE3) in LB (□) and modified M9NG media (♦) over 16 h of shake flask fermentation. Effect of (B) temperature, (C) pH and (D) agitation rate on recombinant cellulase fermentation by E. coli BL21 (DE3) determined by incubating at different fermentation temperature, pH and agitation rates respectively. Wet cell weight (♦), recombinant cellulase expression (□).