Figure 2

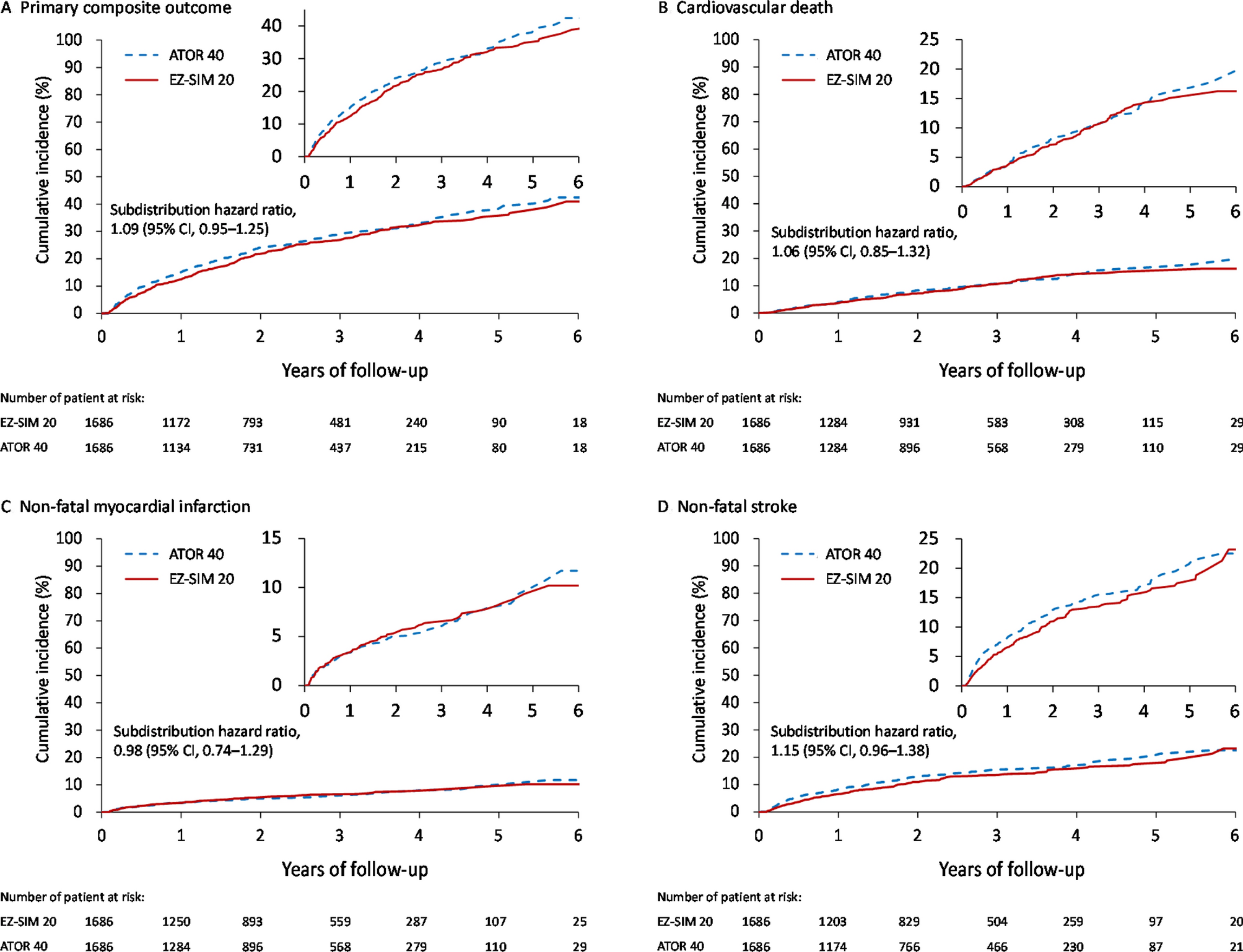
The cumulative incidence of the primary composite outcome (A), and the individual outcomes of cardiovascular death (B), non-fatal myocardial infarction (C) and non-fatal stroke (D) in the propensity score matched cohorts.

The cumulative incidence of the primary composite outcome (A), and the individual outcomes of cardiovascular death (B), non-fatal myocardial infarction (C) and non-fatal stroke (D) in the propensity score matched cohorts.