Figure 5

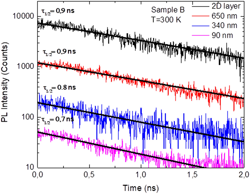
Time-resolved PL lifetime measurements at room temperature of sample B as a function of the diameter of the NRds and associated monoexponential fitting curves.

Time-resolved PL lifetime measurements at room temperature of sample B as a function of the diameter of the NRds and associated monoexponential fitting curves.