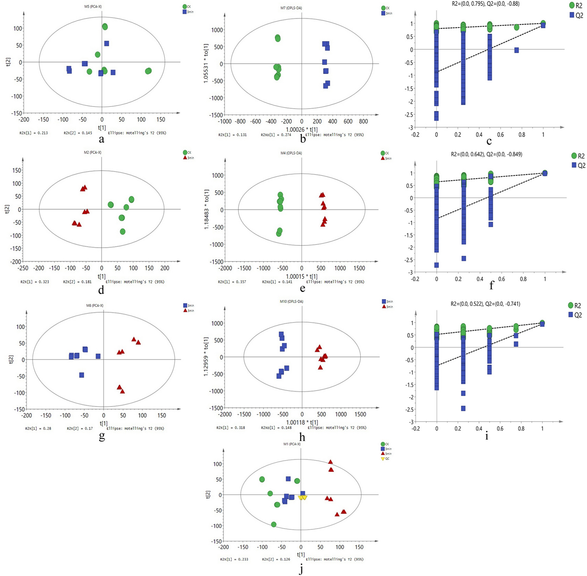
Figure 1

Score scatter plots from PCA, PLS-DA, OPLS-DA and validation plots of OPLS-DA for three comparative groups. (a) PLS-DA for 3 min/CK comparative group. (b) OPLS-DA for 3 min/CK comparative group. (c) Validation plots of OPLS-DA for 3 min/CK comparative group. (d) PLS-DA for 5 min/CK comparative group. (e) OPLS-DA for 5 min/CK comparative group. (f) Validation plots of OPLS-DA for 5 min/CK comparative group. (g) PLS-DA for 3 min/5 min comparative group. (h) OPLS-DA for 3 min/5 min comparative group. (i) Validation plots of OPLS-DA for 3 min/5 min comparative group. (j) Score scatter plots of PCA for 3 min/CK comparative group, 5 min/CK comparative group and 3 min/5 min comparative group.