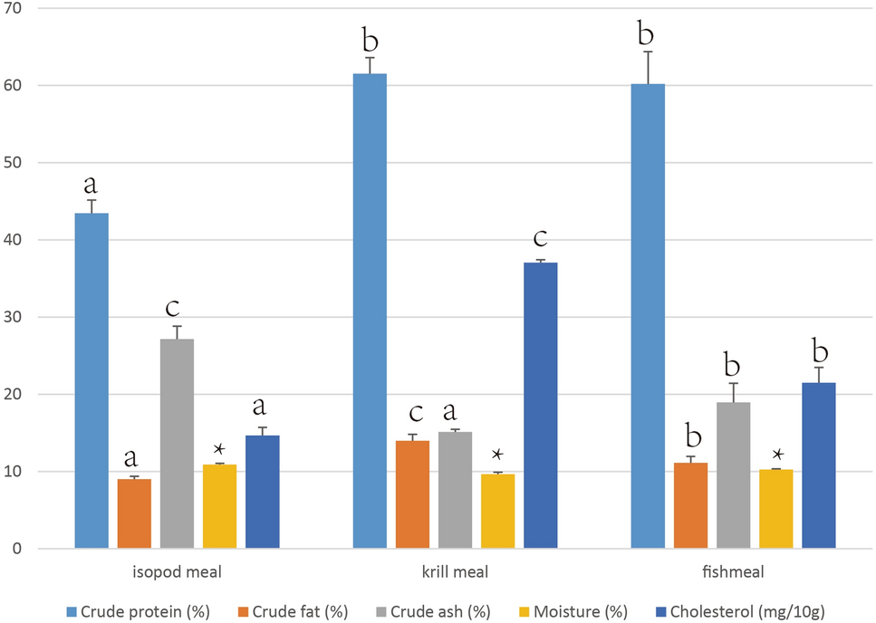
Figure 4

General nutritional components of isopod meal, antarctic krill meal and fishmeal (wet weight ± 95% confidence interval). Numerical values marked in the top of column with the same letter a, b or c or * are not statistically significantly different.