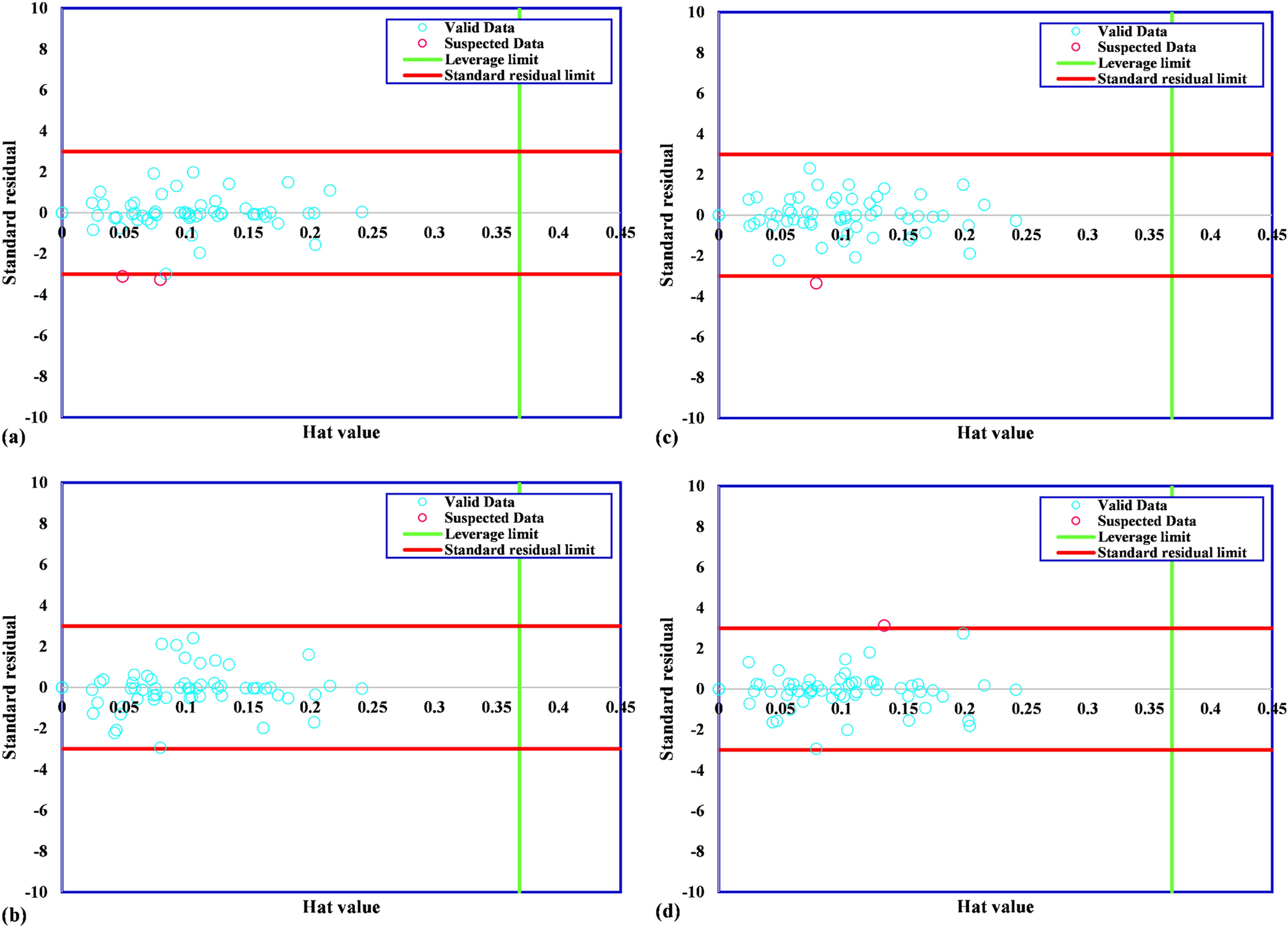
Figure 2

Detection of outliers for GPR models including (a) exponential, (b) squared exponential, (c) rational quadratic, (d) matern.

Detection of outliers for GPR models including (a) exponential, (b) squared exponential, (c) rational quadratic, (d) matern.