Figure 7

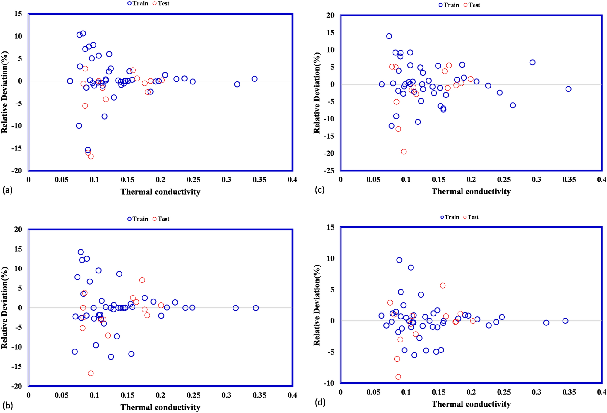
Comparison of model outputs and experimental values for (a) exponential, (b) squared exponential, (c) rational quadratic, (d) matern.

Comparison of model outputs and experimental values for (a) exponential, (b) squared exponential, (c) rational quadratic, (d) matern.