Figure 2
From: Response of chloroplast pigments, sugars and phenolics of sweet cherry leaves to chilling

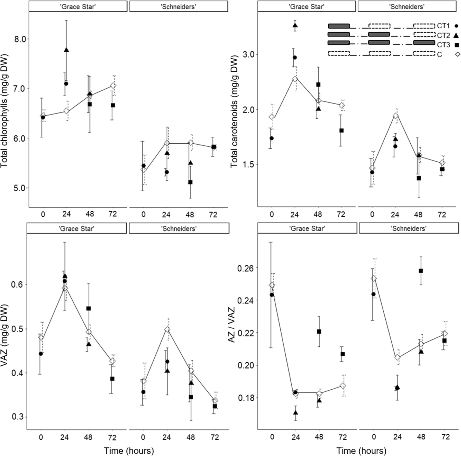
The total chlorophylls, total carotenoids, VAZ (xanthophyll cycle pigments) and AZ/VAZ (deepoxidation state of xanthophyll cycle pool) in leaves of ‘Grace Star’ and ‘Schneiders’, sampled at time 0, time 24, time 48 and time 72 in Experiment I. The overnight chilling treatment (CT) comprises four patterns: CT1 (one exposure, black filled circle); CT2 (two exposures, black filled triangle); CT3 (three exposures, black filled square) and C (control trees, white filled diamond). A black filled rectangle indicates the night-time exposure to CT, while white filled rectangle indicates the night under natural conditions. Vertical bars represent ± SE of the mean (n = 3; n = 3 and 6 for controls).