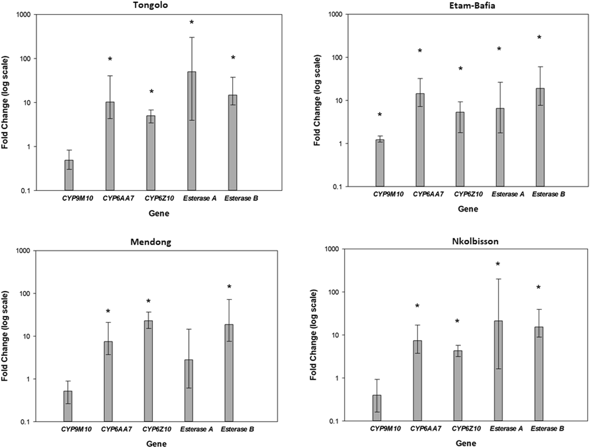
Figure 3

Expression analysis of detoxification genes in the four resistant Culex quinquefasciatus mosquito populations. Error bars indicate 95% CIs. Stars denote statistically significant upregulation.

Expression analysis of detoxification genes in the four resistant Culex quinquefasciatus mosquito populations. Error bars indicate 95% CIs. Stars denote statistically significant upregulation.