Figure 2
From: A novel prognostic model to predict outcome of artificial liver support system treatment

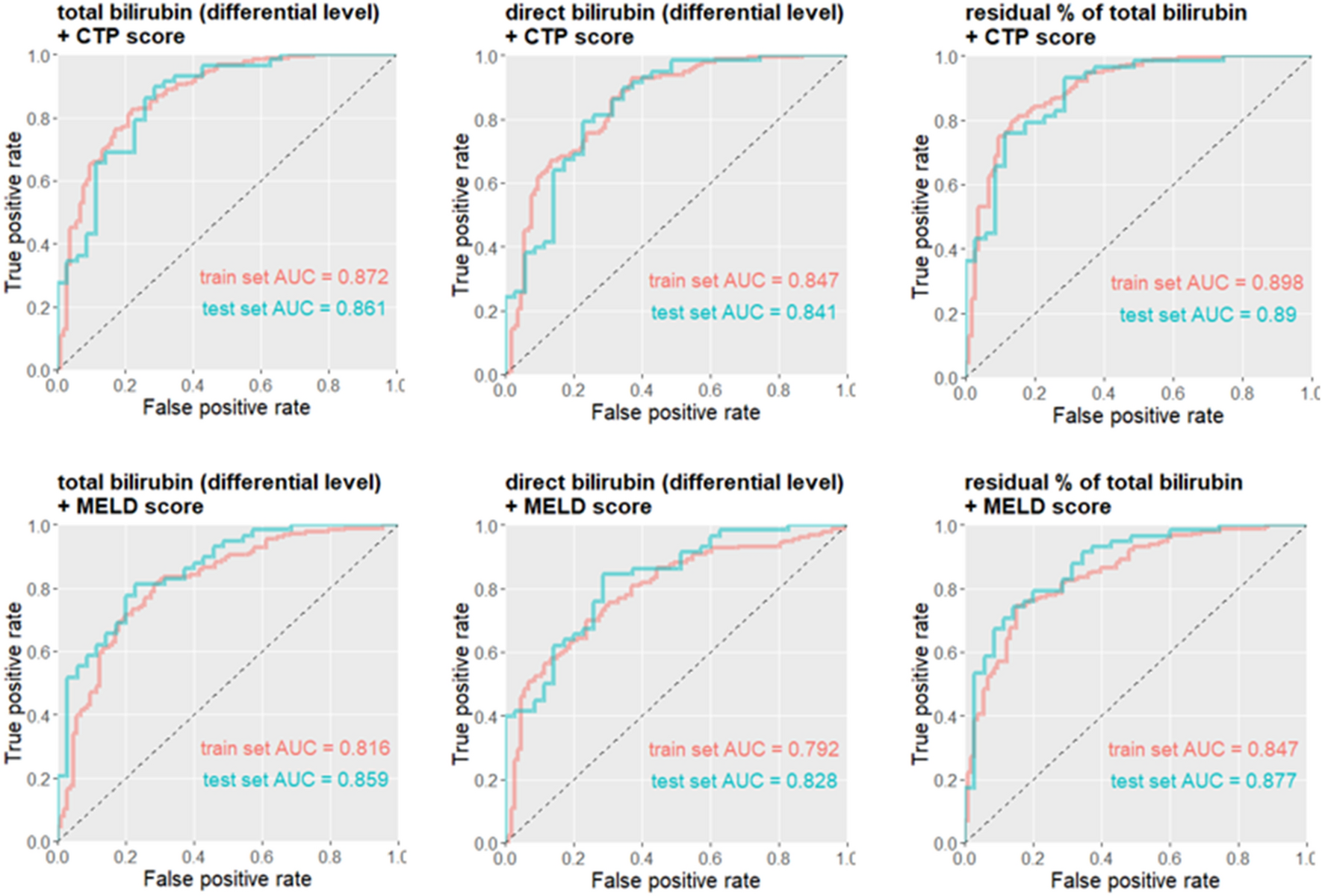
ROC plots and AUC values of the train set and the test set for multivariate analysis of selected combinations of significant factors.
From: A novel prognostic model to predict outcome of artificial liver support system treatment

ROC plots and AUC values of the train set and the test set for multivariate analysis of selected combinations of significant factors.