Figure 2

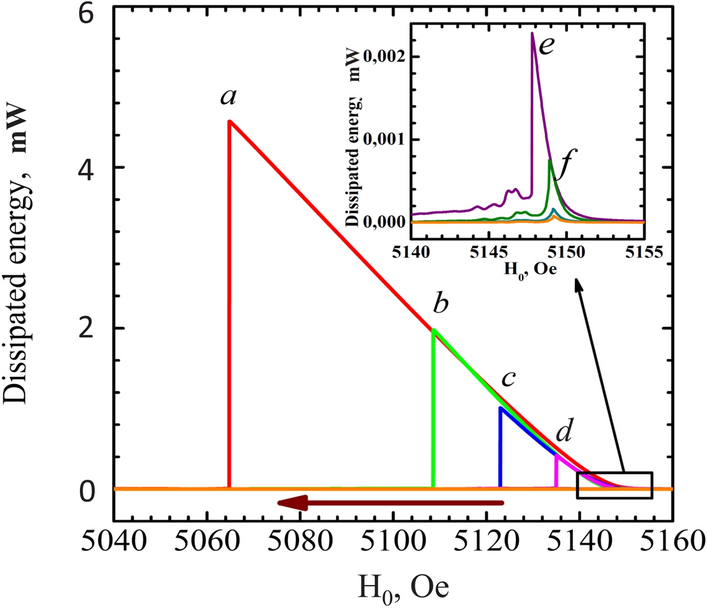
The energy dissipated by a magnon spin system at different level of exciting power. The energy was calculated as a product of absorption signal (Fig. 1) on the amplitude of RF field. The enlarged scale is shown in the inset.

The energy dissipated by a magnon spin system at different level of exciting power. The energy was calculated as a product of absorption signal (Fig. 1) on the amplitude of RF field. The enlarged scale is shown in the inset.