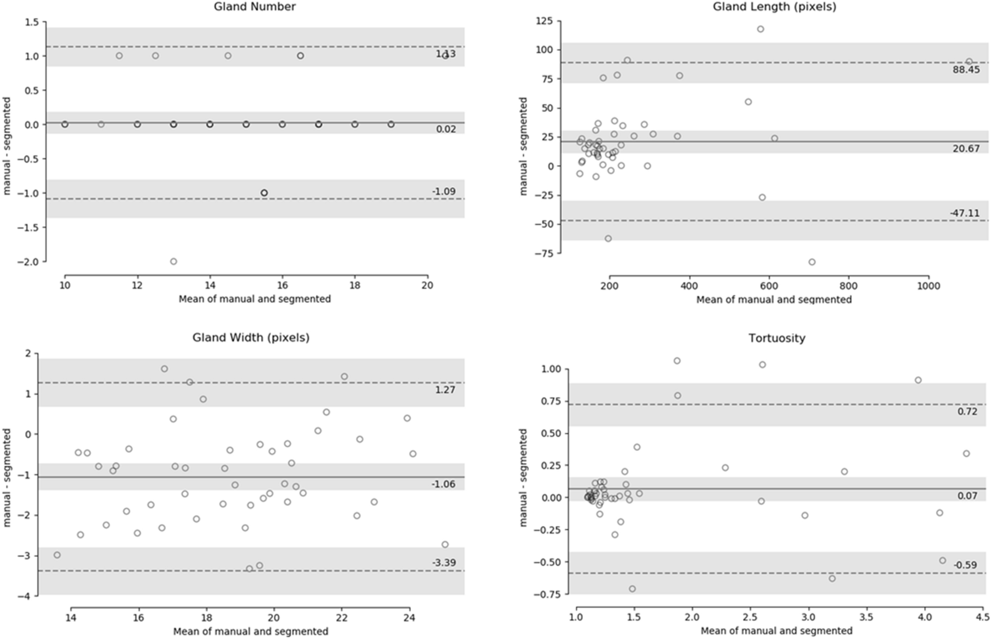
Figure 6

Bland–Altman plots of MGs number, length, width, and tortuosity between ground truth and deep learning segmentation for upper eyelid. The middle solid line indicates the mean value, the two dotted lines indicate the limit of agreement (± 1.96 SD), and the gray bar indicates the confidence interval of 95%.