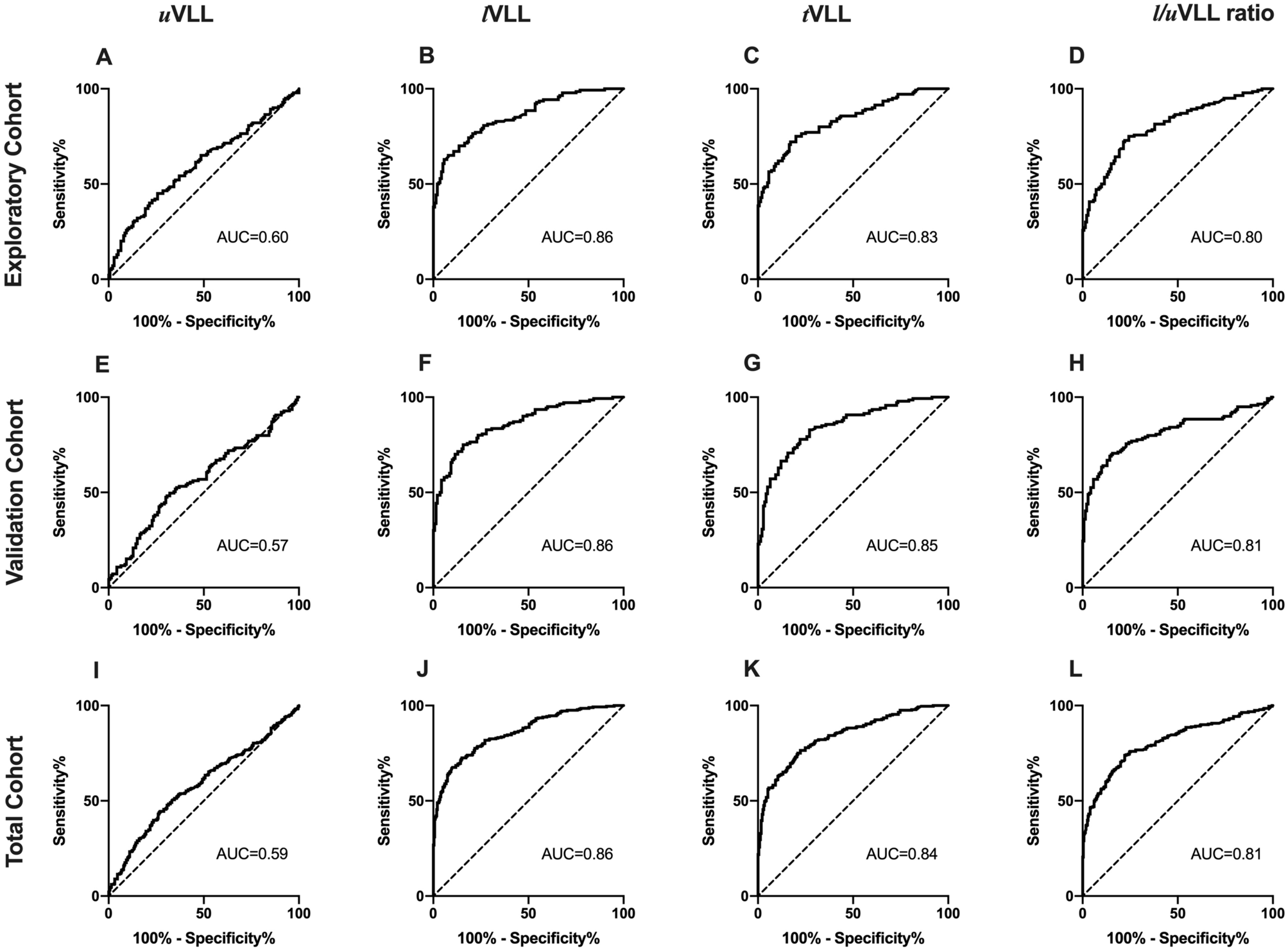
Figure 4

Receiver operating characteristic curves of vertical lung lengths (VLLs) for the detection of IIPs. Receiver operating characteristic curve analyses of VLLs in the exploratory (AāD), validation (EāH), and total cohorts (IāL). AUC area under the curve.