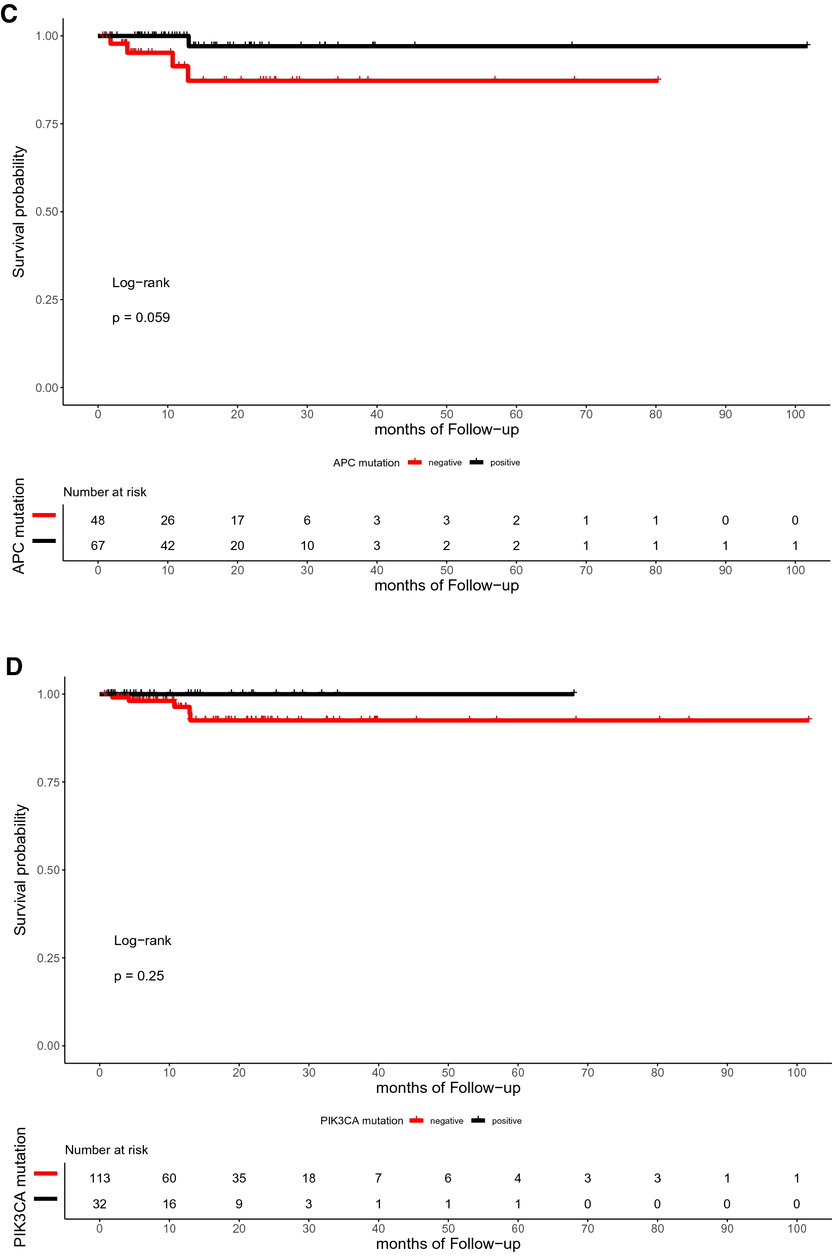
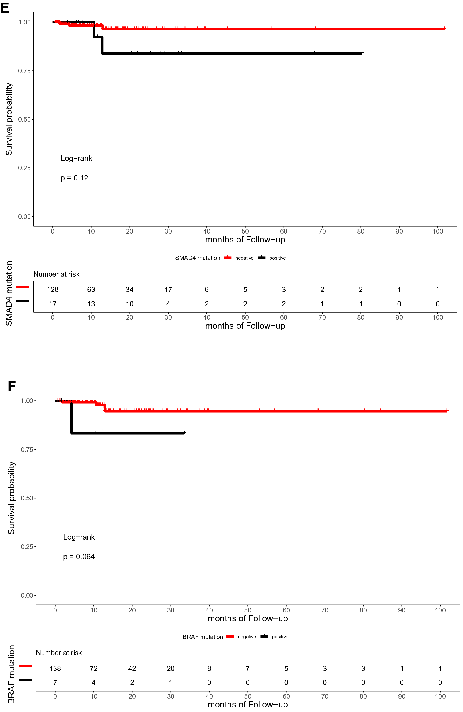
Figure 4
From: Enhancing the landscape of colorectal cancer using targeted deep sequencing




Kaplan–Meier curve for OS in 145 CRC patients by mutational status, including TP53 (A), RAS (B), APC (C), PIK3CA (D), SMAD4 (E), BRAF (F), ATM (G), and FBXW7 (H).