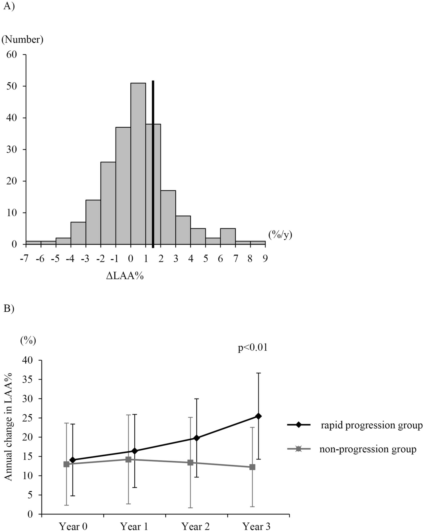
Figure 1

Distribution of annual changes in LAA% and time-dependency over 3 years. (A) Distribution of the annual changes in LAA% over the 3-year period. The mean ± SD of ΔLAA%/year was 0.47 ± 2.28. We had arbitrarily defined the cut-off value of ΔLAA%/year, based on the upper quartile value, as 1.48%/year. (B) Overall time-dependent LAA% in the rapid progression and non-progression groups. Data are shown as mean ± SD. LAA low attenuation area.