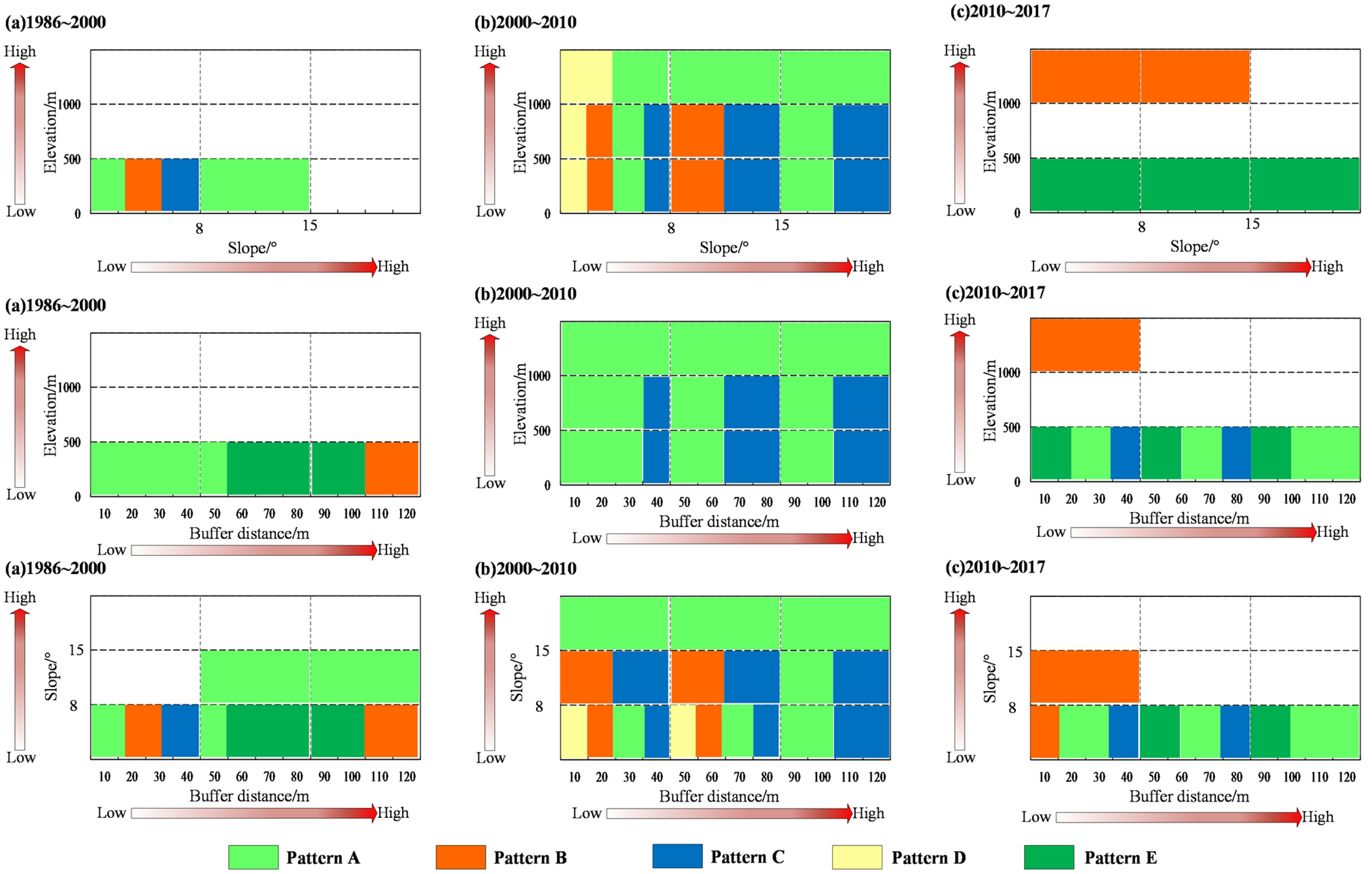
Figure 11
From: Landscape change patterns at three stages of the construction and operation of the TGP

Landscape evolution model in a typical watershed of the TGRA. Pattern A: conversion of other landscape types to forestland; Pattern B:Â conversion of other landscape types to built-up areas; Pattern C:Â conversion of other landscape types to water bodies; Pattern D:Â conversion of other landscape types to farmland; Pattern E:Â conversion of other landscape types to shrubland.