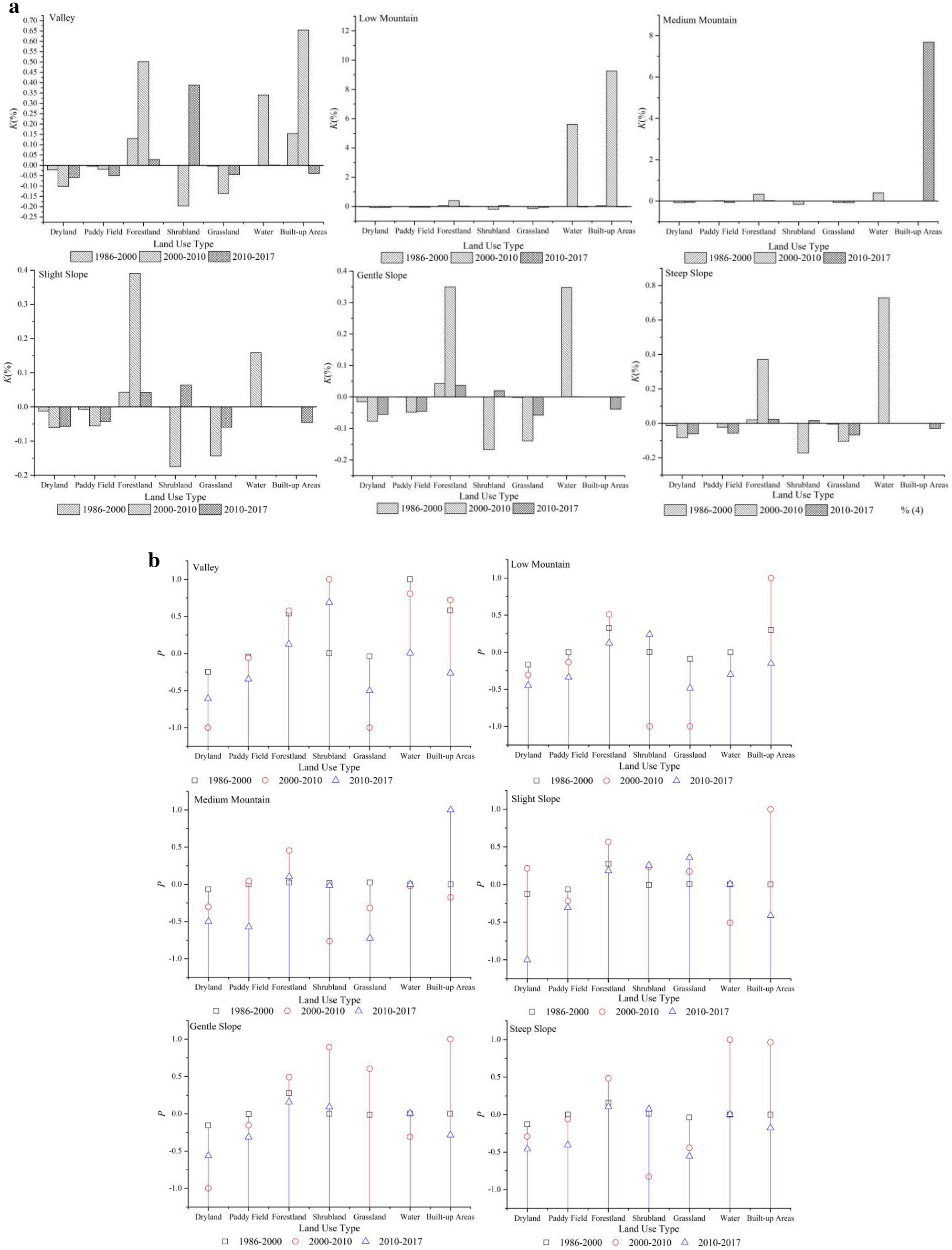
Figure 5
From: Landscape change patterns at three stages of the construction and operation of the TGP

(a) Speed of different land cover for different landforms of the watersheds, (b) The trend of different landscape types for different landforms of the watershed.