Figure 9
From: Landscape change patterns at three stages of the construction and operation of the TGP

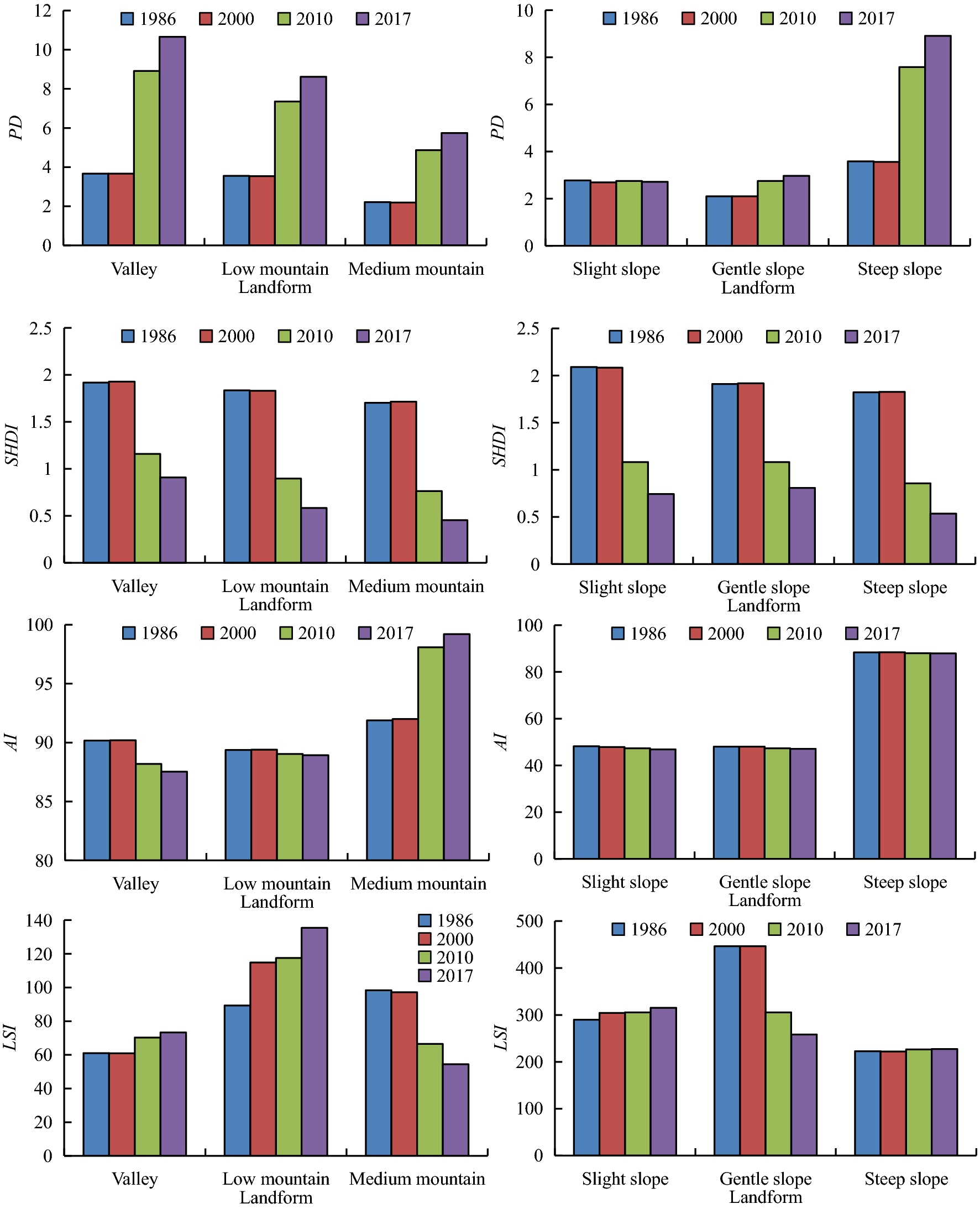
Changes in landscape index along with landforms from 1986 to 2017 in the watershed.
From: Landscape change patterns at three stages of the construction and operation of the TGP

Changes in landscape index along with landforms from 1986 to 2017 in the watershed.