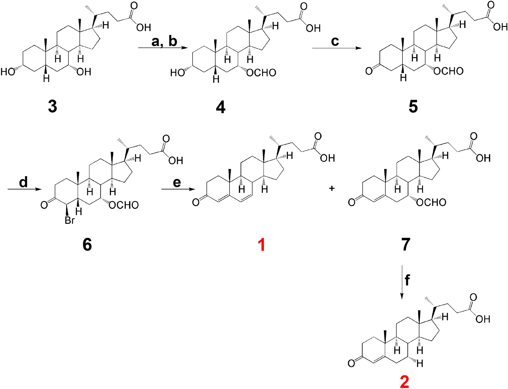
Figure 5

Chemical synthesis of fetal bile acids. Reagents and conditions: a. HCOOH, 70% HClO4, 40–60 °C, 2 h; b. 0.2 M NaOH, acetone, RT, 1 h; c. Jones’ reagent, acetone, 0 °C, 2 h; d. PTSA, Br2, DMF, RT, 12 h; e. semicarbazide, NaOAc in H2O, AcOH, 60 °C, 1 h; f. 0.2 M NaOH, H2O, RT, 0.25 h. The reactions were modified from the procedures of Leppik for cholic and deoxycholic acids31.