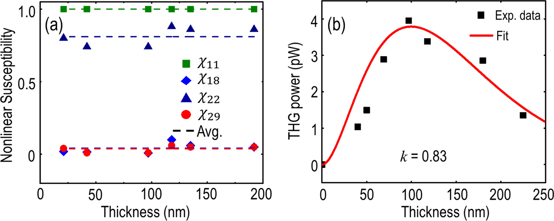
Figure 4

(a) Extracted relative magnitudes of \({\chi }_{11}\),\({\chi }_{18}\), \({\chi }_{22}\) and \({\chi }_{29}\) with respect to the flake thickness, plotted as green squares, blue rectangles, royal blue upper triangles and red circles, respectively. The average values are marked as dashed lines with the associated colors. (b) Dependence of the THG emission power on the franckeite flake thickness. Experimental data and theoretical fitting are plotted with black squares and red solid curve, respectively.