Figure 4

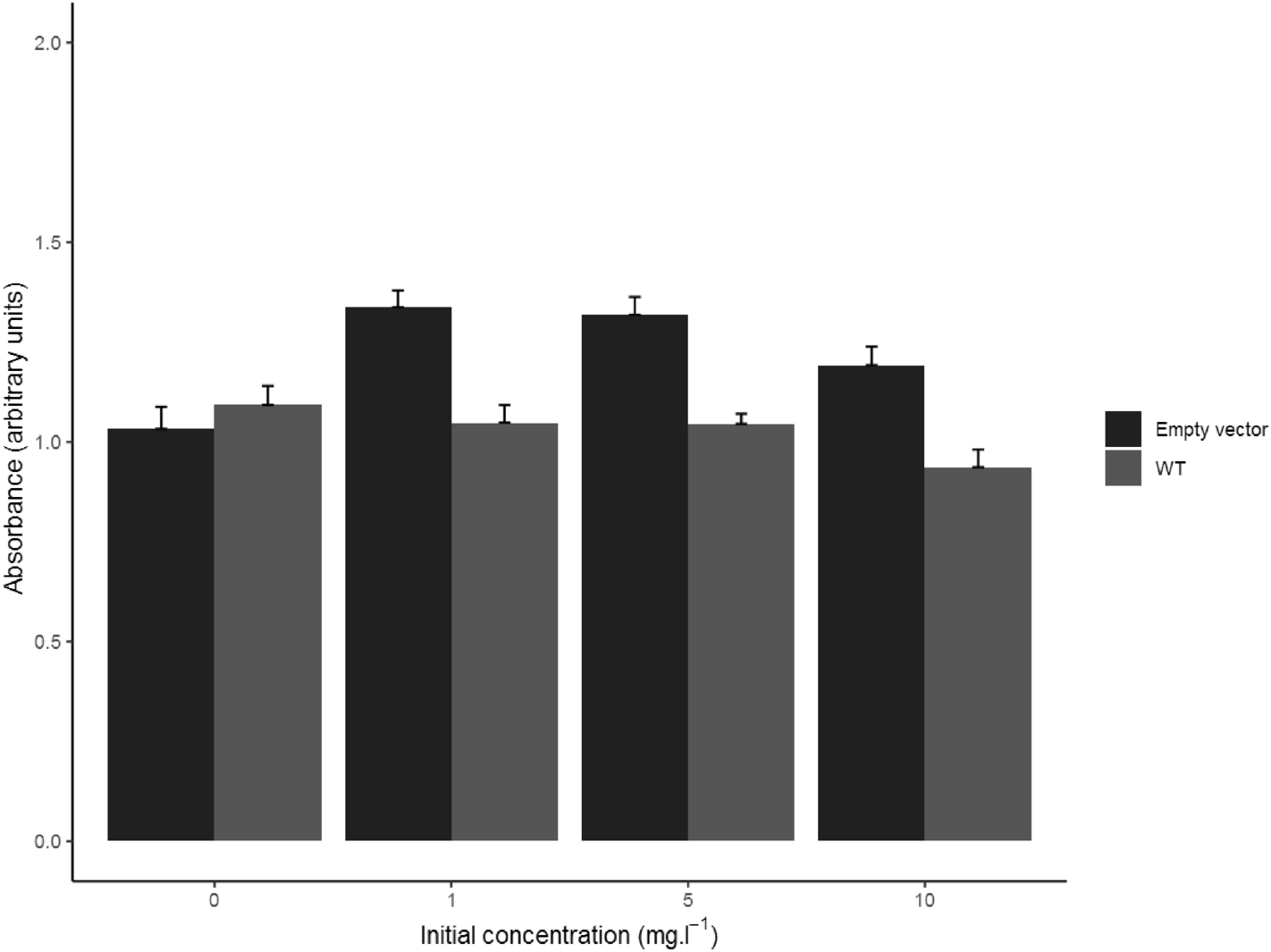
WST-1 cell viability assay results in HEKcontrol (empty vector) and HEKWT cells at several dose levels (0 being the control condition) after 1.75 h of incubation. Results reported as mean absorbance + standard error (n = 6).

WST-1 cell viability assay results in HEKcontrol (empty vector) and HEKWT cells at several dose levels (0 being the control condition) after 1.75 h of incubation. Results reported as mean absorbance + standard error (n = 6).