Figure 3
From: An analytical method reduces noise bias in motor adaptation analysis

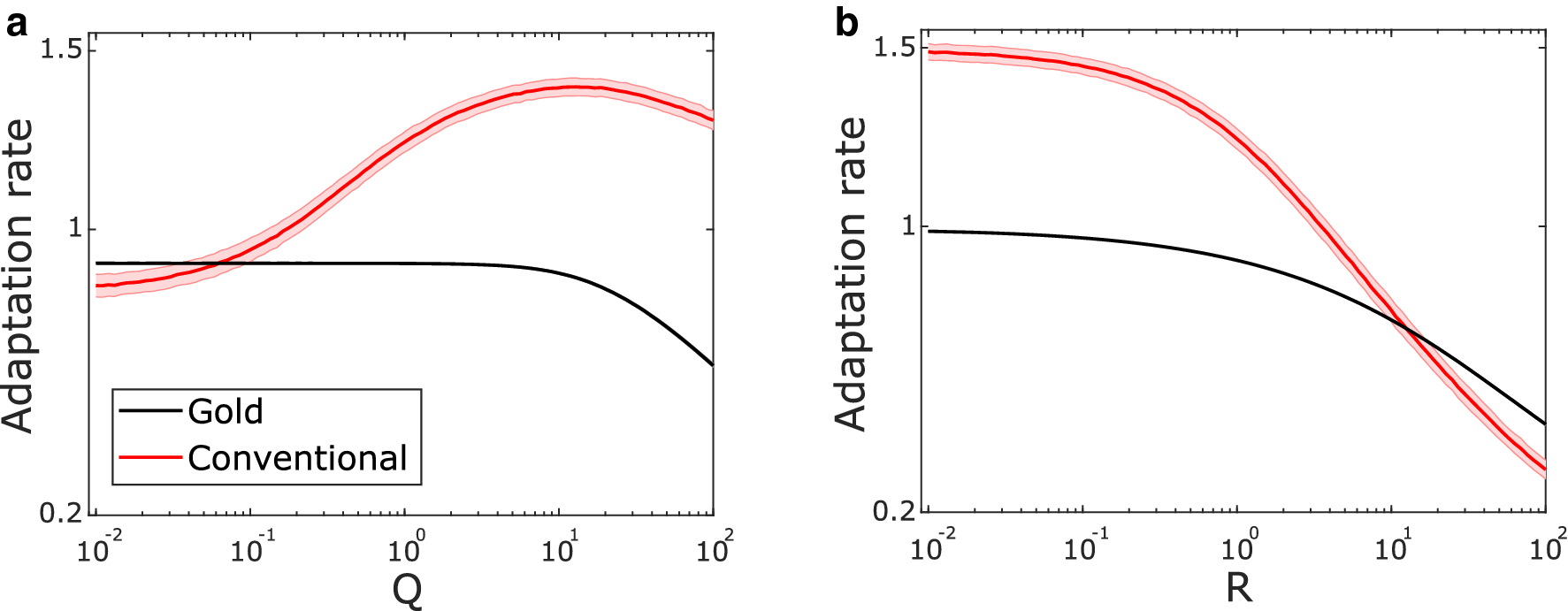
Conventional trial-by-trial adaptation does not capture the expected dynamics of human motor performance. (a) Simulated adaptation rate values with changing control noise (Q). The shaded area indicates one standard deviation above and below the mean (solid line). Results from 1,000 simulations at each of 100 values of Q across the range indicated with \({x}_{i}=100\), \(R=1\) and \(\xi =0.01\). (b) Simulated adaptation rate values with changing sensory noise (R). Simulation settings and parameters as in a except here \(Q=1.\) All adaptation rates are shown as absolute values.