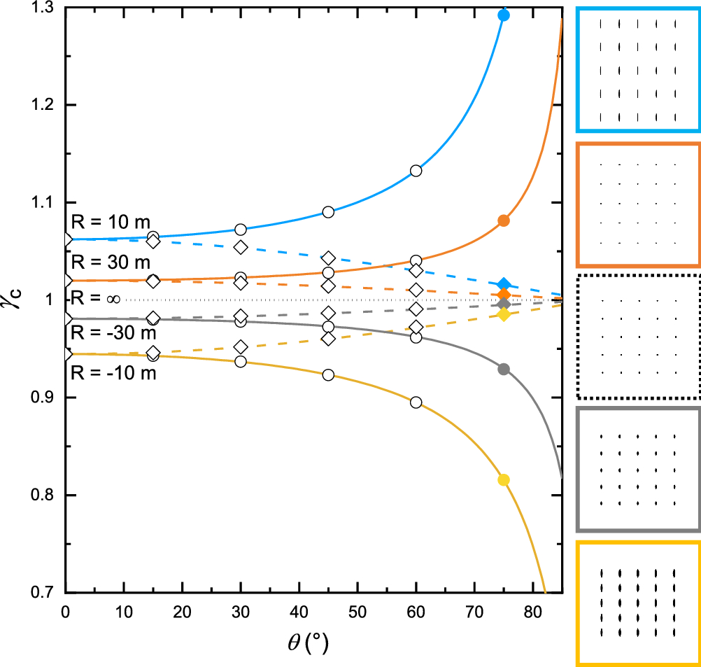
Figure 2
From: Magnification inferred curvature for real-time curvature monitoring

Captured magnification γc calculated (curves) and extracted (points) by our image analysis algorithm out of images simulated with Zemax OpticStudio as a function of tilt angle θ and for radii of curvature of 10 m (blue), 30 m (orange), infinite (dotted dark), − 30 m (grey) and − 10 m (yellow). The distances \(\overline{OP}\) and \(\overline{AP}\) used for calculation and simulation are those of our MBE 412 system’s configuration (0.516 m and 0.678 m respectively). The curves show calculation in sagittal (solid) and tangential (dash) directions thanks to Eqs. (6) and (7). At the right hand side are shown inverted color images simulated by Zemax OpticStudio from which plain colored points data are extracted in the figure (for θ = 75°). For these images, the sagittal direction is vertical and the tangential direction is horizontal. From top to bottom, these images correspond to 10 m, 30 m, infinite, − 30 m and − 10 m radii of curvature.