Figure 3
From: Magnification inferred curvature for real-time curvature monitoring

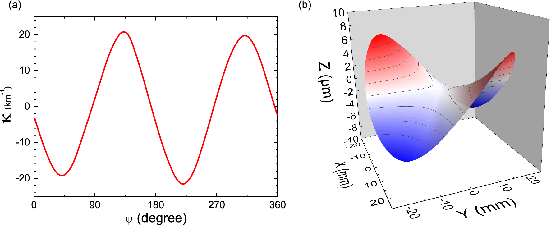
The curvature measured on a bare 50 mm diameter, 350 µm thick GaAs (001) oriented wafer while rotating at 12 rpm around its axis, at 580 °C (a) allows for its complete shape reconstruction in real-time (b).