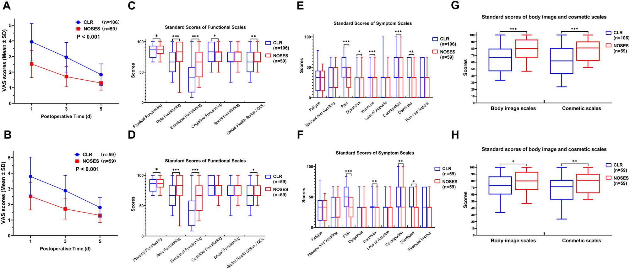
Figure 1

Comparison of short-term curative effect between two groups of patients. (A, B) Postoperative analgesic drug use in two groups of patients. (A) Before PSM. (B) After PSM. (C–F) EORCT Quality of Life questionnaire-Core 30 results of two groups. (C) Functional Scales (before PSM). (D)Symptom Scales (before PSM). (E) Functional Scales (after PSM). (F) Symptom Scales (after PSM). (G, H) Scores of body image and cosmetic scales (Higher scores indicate better body image and higher satisfaction with scars). (G) Before PSM. (H) After PSM. (*p < 0.05, **p < 0.01, ***p < 0.001).