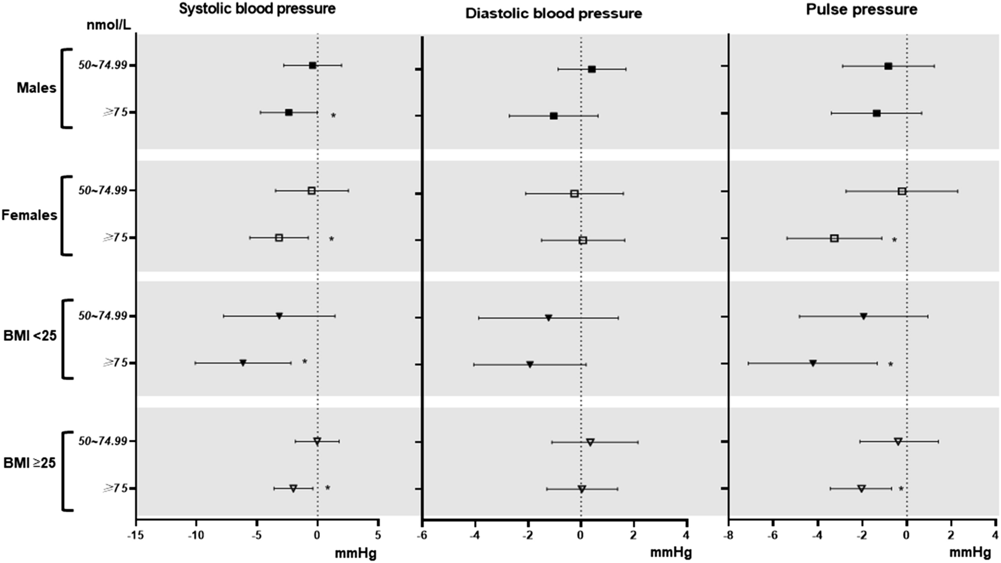
Figure 1

Multiple linear regression of blood pressure with vitamin D concentrations in the subgroups by sex and BMI. p-trend < 0.05 considered significant. Adjusted for age, sex, race/ethnicity, education, season of examination, physical activity, alcohol consumption, smoking status, dietary covariates (intakes of total energy, potassium, calcium, magnesium, and sodium), height, weight, and diabetes.