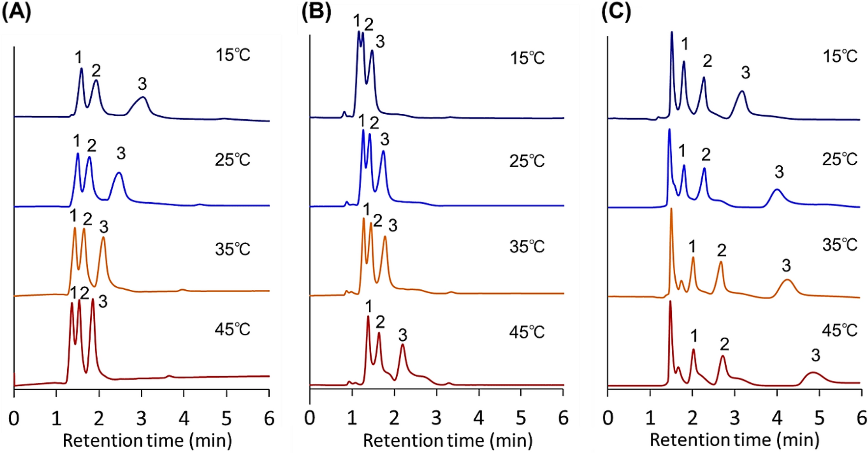
Figure 6

Chromatograms of barbiturates using P(NIPAAm-co-BMA) hydrogel-modified bead columns with (A) 7-nm pore-diameter beads, (B) 12-nm pore-diameter beads, and (C) 30-nm pore-diameter beads as base materials. Mobile phase was pure water. Elution of analytes was monitored at 220 nm at a mobile-phase flow rate of 1.0 min/L. Peak 1 = barbital; 2 = allobarbital; and 3 = phenobarbital.