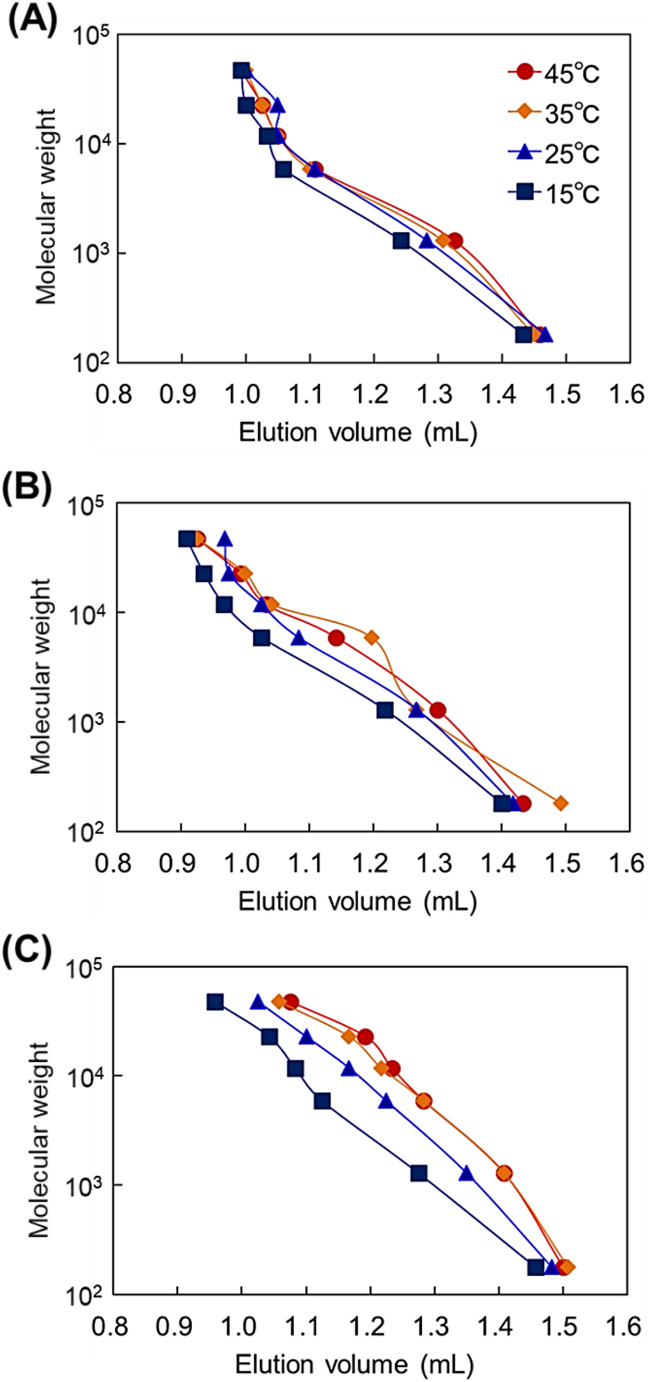
Figure 8

Plots of molecular weight of glucose and pullulan standards and their elution volume through P(NIPAAm-co-BMA) hydrogel-modified bead columns with (A) 7-nm pore-diameter beads, (B) 12-nm pore-diameter beads, and (C) 30-nm pore-diameter beads as base materials.