Figure 1
From: Multistability in a star network of Kuramoto-type oscillators with synaptic plasticity

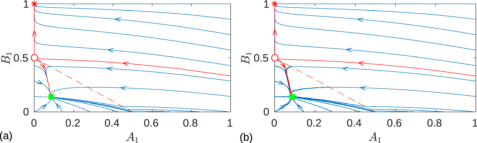
Comparisson of (a) the phase portrait in the plane of slow variables (\(A_1, B_1\)) obtained from the reduced system of Eqs. (11) and (15) with (b) the projection of the solution of the original system of Eqs. (3) and (7) to the same plane (\(A_1, B_1\)). The red dashed line \(A_1+B_1=\Delta\) divides the areas of synchronized (\(A_1+B_1>\Delta\)) and unsynchronized (\(A_1+B_1<\Delta\)) motion of the oscillators. The red star and green square indicate the stable fixed points of the synchronized and desynchronized system, respectively. The red circle marks a saddle point, and red trajectories represent its separatrices. The stable separatrix separates the basins of attraction of the two stable fixed points. The red circle and green square represent true fixed points in panel (a) only, while in panel (b) they can only be roughly interpreted as fixed points (see main text for details). The results are presented for the sigmoid boundary function (5) whith the parameter \(\mu =0.2\). Other parameters are: \(\omega _0=1\), \(\omega _1=0.5\), \(\alpha = 1\), \(\tau _+ = 0.15\), \(\tau _-=0.3\), and \(\varepsilon = 0.01\).