Figure 3
From: Multistability in a star network of Kuramoto-type oscillators with synaptic plasticity

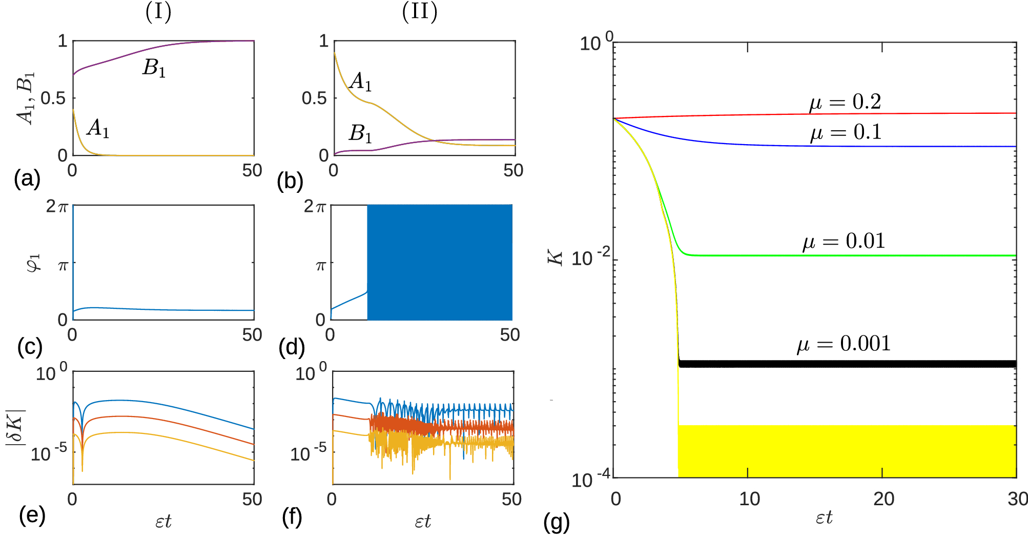
Dynamics of state variables of two oscillators under PDDP. Columns (I) and (II) represent two different initial conditions, which lead to different asymptotic modes: synchronized state (I) and unsynchronized state (II). (a,b) Dynamics of slow variables \(A_1(t)\) and \(B_1(t)\). (c,d) Dynamics of the phase difference \(\varphi _1(t)\). The values of the parameters are the same as in Fig. 1 except for \(\varepsilon =0.001\). (e,f) Dynamics of the absolute value \(|\delta K (t)|\) of the deviation of the solution of the reduced system of Eqs. (11) and (15) from the solution of the original system of Eqs. (3) and (7) for different values of the parameter \(\varepsilon\): 0.1 (blue), 0.01 (red) and 0.001 (orange). (g) Dynamics of the variable \(K(t)=A_1(t)+B_1(t)\) obtained from Eqs. (3) and (7) for the sigmoid boundary function with different values of the parameter \(\mu\): 0.2 (red), 0.1 (blue), 0.01 (green), and 0.001 (black). The curves move downward as the parameter \(\mu\) decreases. The lower yellow curve corresponds to the Heaviside step boundary function. The initial conditions are the same as in the second column and \(\varepsilon =0.001\).