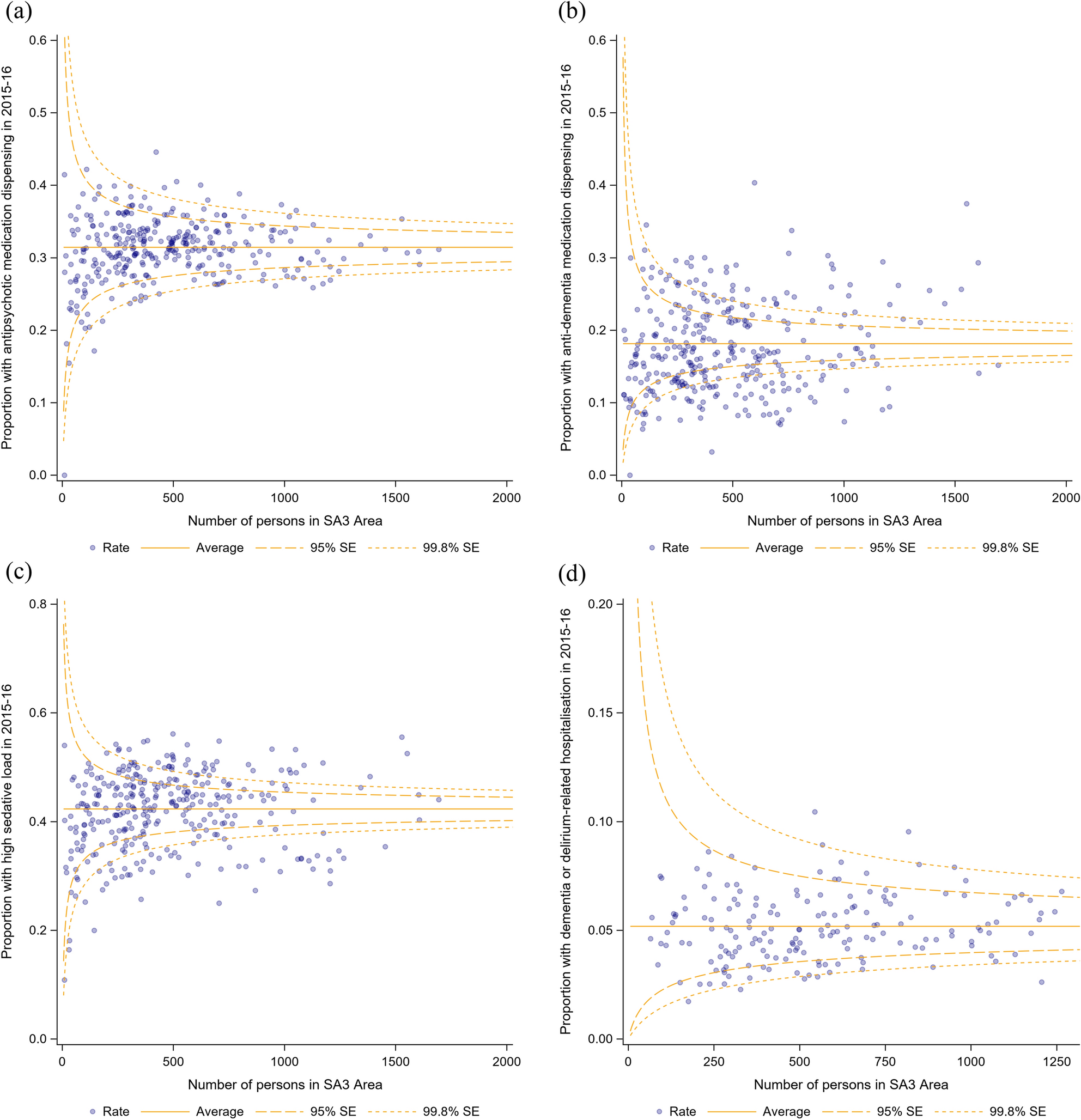
Figure 1

Adjusted geographical variation in (a) proportion of aged care users with dementia who were dispensed an antipsychotic medication in 2015/16; (b) proportion of aged care users with dementia who were dispensed a cholinesterase inhibitor or memantine in 2015/16; (c) proportion of aged care users with dementia with at least one 90-day period with high sedative medication load in 2015/16, and; (d) proportion of aged care users with dementia with a dementia or delirium-related hospitalisation in 2015/16 (New South Wales, Victoria, and South Australia only).