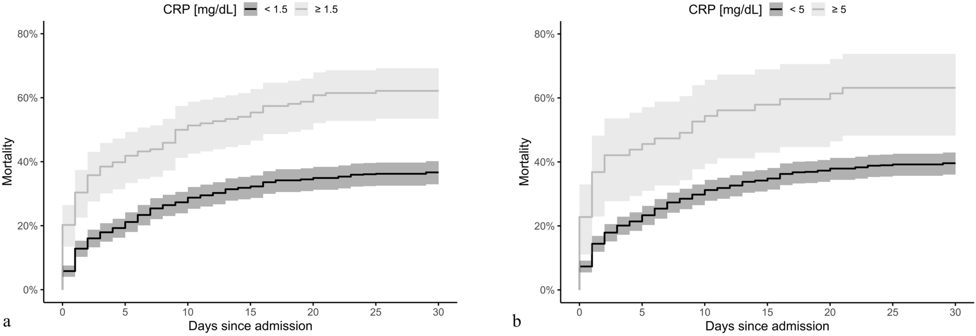
Figure 2

Kaplan–Meier plot of mortality to day 30 among ED patients presenting with OHCA according to (a) the CRP cut-off level of 1.5 mg/dL and (b) the CRP cut-off level of 5 mg/dL. Shaded areas indicate a 95% confidence interval. CRP C-reactive protein, ED emergency department, OHCA out-of-hospital cardiac arrest.