Figure 3
From: Oil palm cultivation critically affects sociality in a threatened Malaysian primate

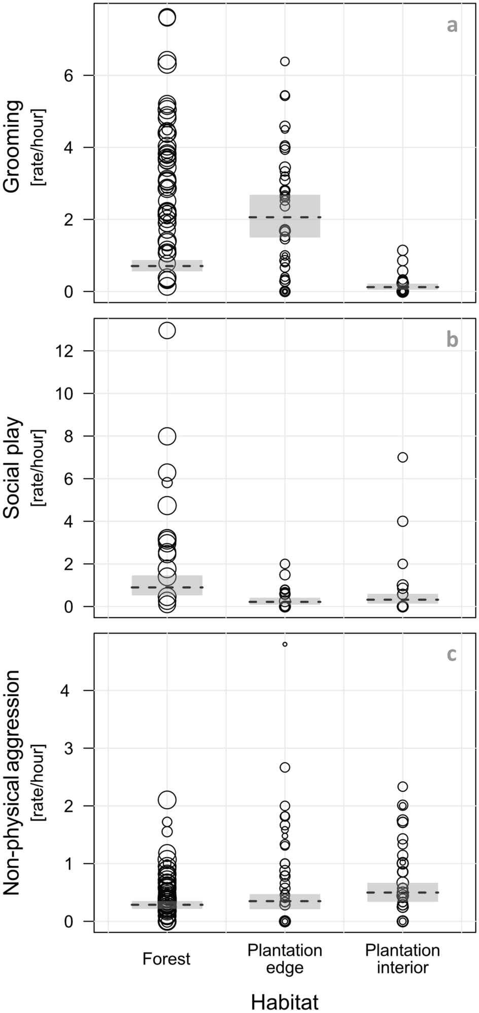
Effect of oil palm plantations on social interactions in Macaca nemestrina. Shown are individual rates of grooming (a), juvenile social play (b) and non-physical aggression (c) in the forest, at the plantation edge and in the plantation interior (additional illustration in Supplementary Fig. S1). The dashed lines show the fitted models and the shaded areas their 95% confidence intervals, conditional on continuous control predictors being on their average, and based on age-sex class, group and time of the day manually dummy coded and then centred. For visual clarity, observation values were averaged per individual, with circle areas corresponding to respective observation hours per focal animal (Total N = 1535 focal observations of 50 individuals (36 of AMY, 14 of VOL) for grooming and non-physical aggression, and 510 focal observations of 16 individuals (14 of AMY, 2 of VOL) for social play).