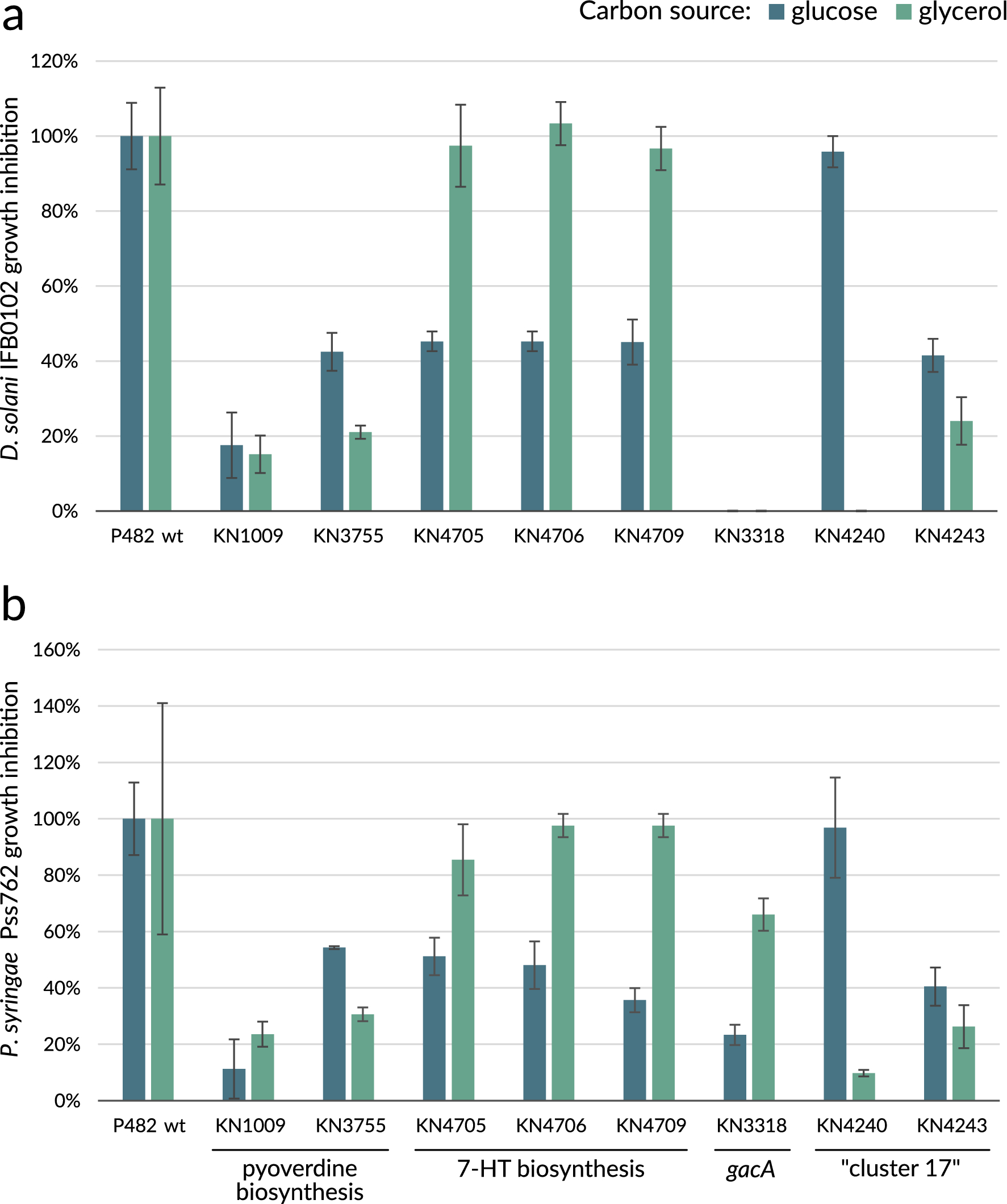
Figure 1

Growth inhibition of Dickeya solani IFB0102 (a) and Pseudomonas syringae pv. syringae Pss762 (b) by Pseudomonas donghuensis P482 mutants tested on minimal M9-agar medium with 0.4% glucose or 0.4% glycerol as a sole carbon source. The bars represent the percentage of the growth inhibition zone obtained for P482 wt under given conditions. Pseudomonas vranovensis DSM16006T does not cause growth inhibition of the tested pathogens and was used as a negative control strain (see Supplementary Data Figure S1). The assay was performed in triplicates; error bars represent standard deviation.