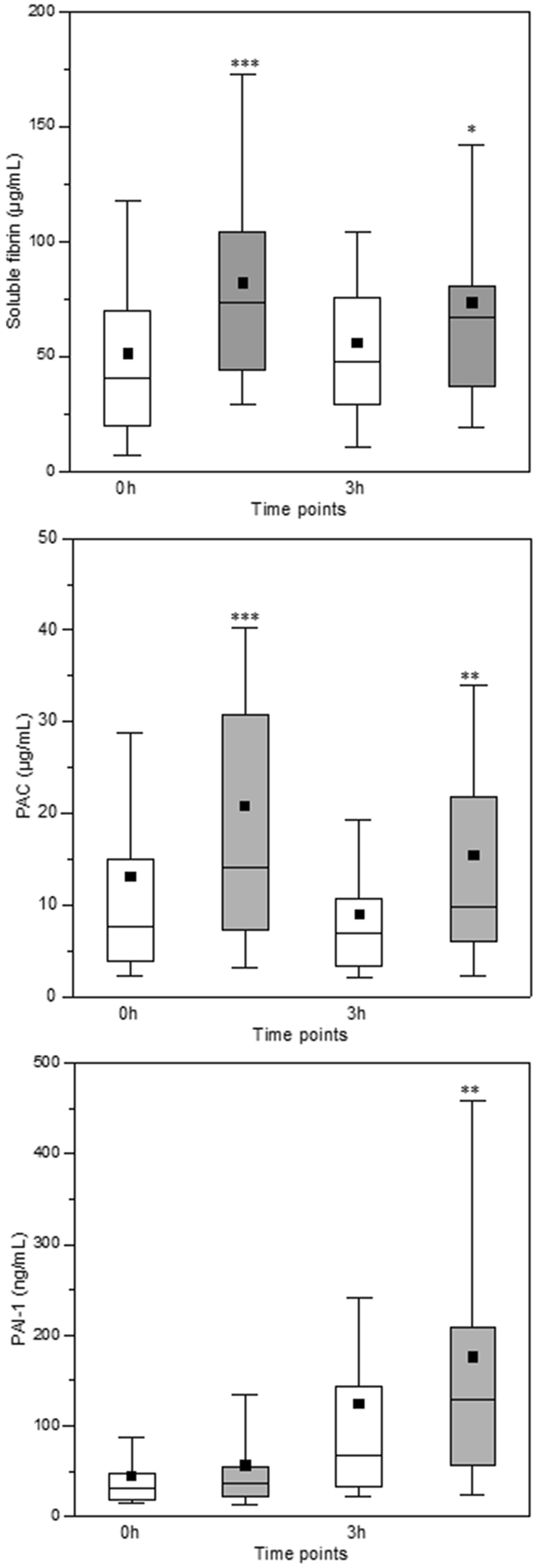
Figure 3

Box plots for soluble fibrin, plasmin and antiplasmin complex (PAC), and plasminogen activator inhibitor-1 (PAI-1) at 0 and 3 h after presentation to the emergency department. Disseminated intravascular coagulation (DIC) patients showed significantly higher values of soluble fibrin and PAC at 0 and 3 h and PAI-1 at 3 h than did non-DIC patients. White box, non-DIC patients; grey box, DIC patients. Horizontal bars in the box indicate the median (middle) and interquartile ranges (upper 25% and lower 75%). Black boxes are mean values. *P < 0.05, **P < 0.01, ***P < 0.001 versus non-DIC patients.