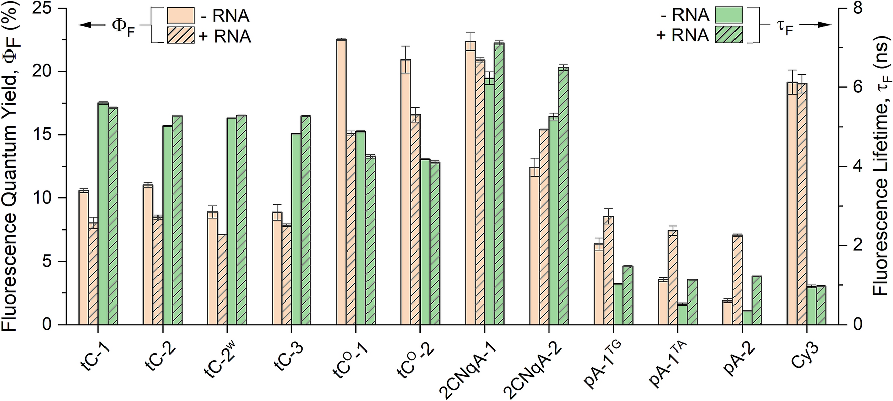
Figure 4

Fluorescence quantum yield (ΦF, red bars) and lifetime (τF, green bars) of the single-stranded (plain bars) and RNA-bound (striped bars) gapmers. Presented values are mean ± standard deviation from two independent replicates. The corresponding numeric data are provided in Supplementary Table S1.