Thank you for visiting nature.com. You are using a browser version with limited support for CSS. To obtain
the best experience, we recommend you use a more up to date browser (or turn off compatibility mode in
Internet Explorer). In the meantime, to ensure continued support, we are displaying the site without styles
and JavaScript.
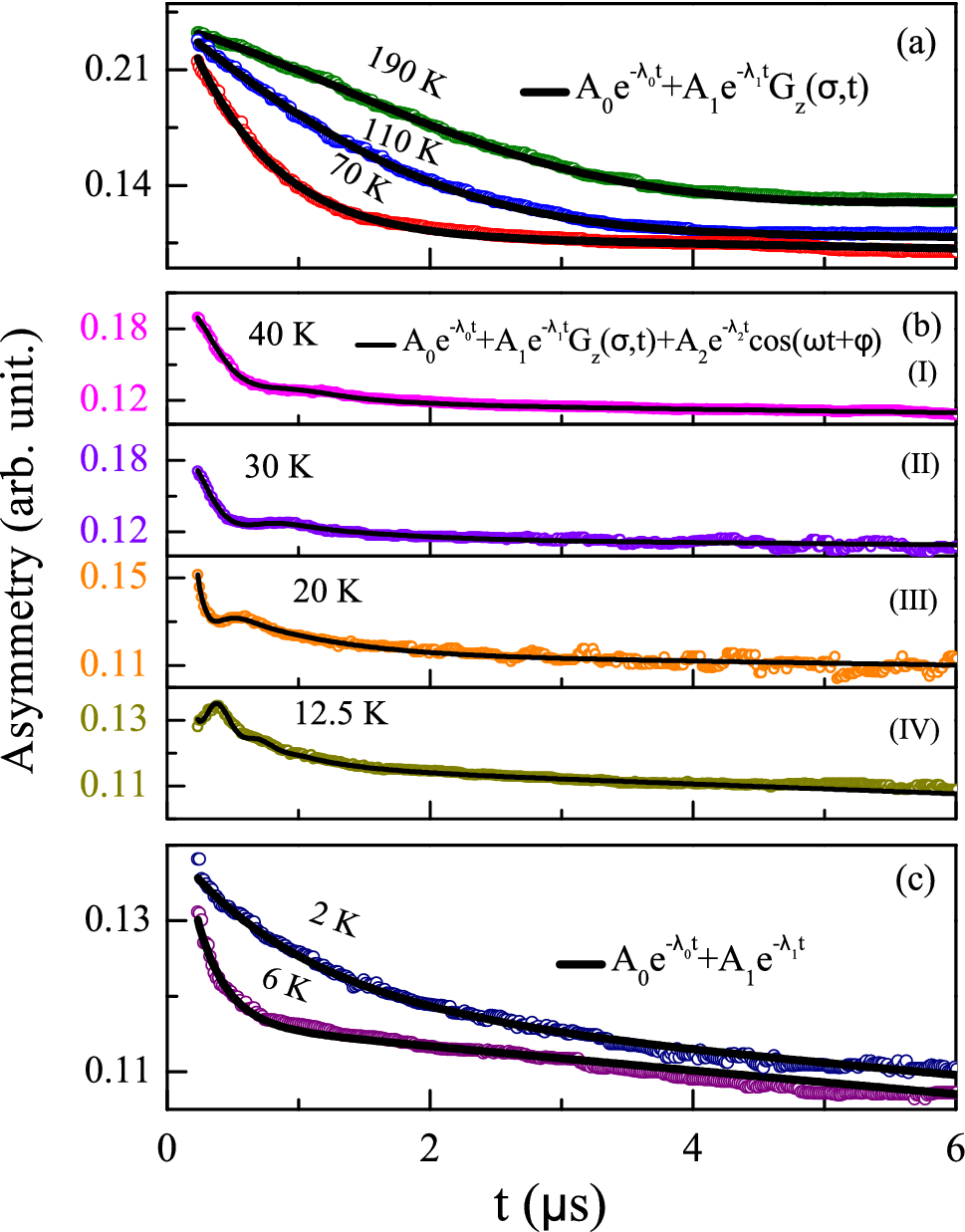
Zero-field \(\mu\)SR spectra (a) at temperatures that can be fitted using Eq. (7), (b) at temperatures that can be well described using Eq. (9) and (c) at temperatures where the fitting equation (Eq. (7)) must have \(\sigma =0\).