Figure 7

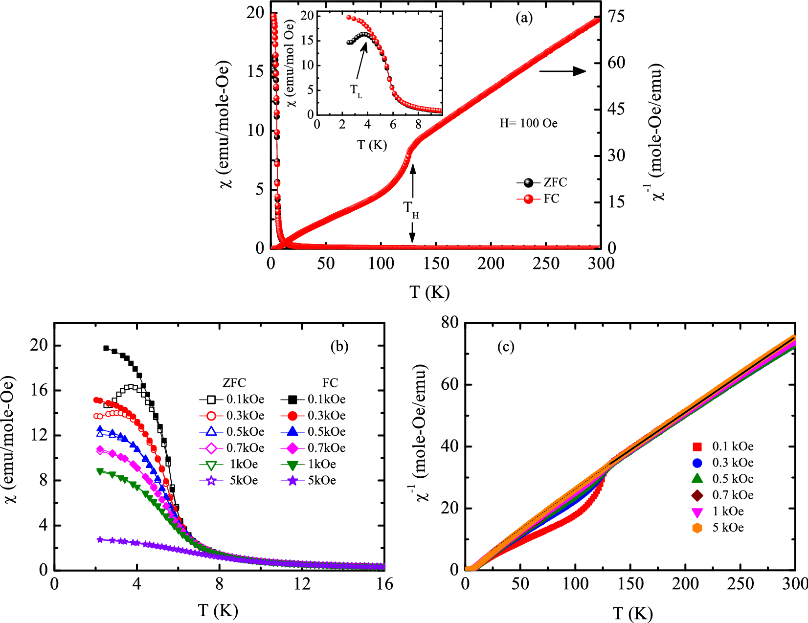
(a) \(\chi (T)\) in ZFC and FC protocol (left panel) and \(\chi ^{-1} (T)\) in FC protocol (right panel) for \(H = 0.1 \, \text {kOe}\). Inset shows the expanded low-temperature region. (b) \(\chi (T)\) and (c) \(\chi ^{-1} (T)\) measured at various applied magnetic fields.