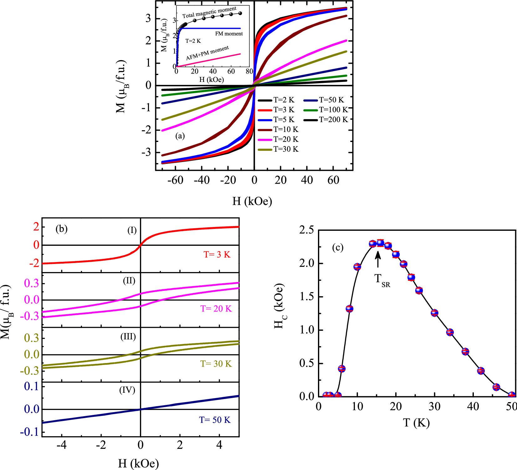
Figure 8

(a) Magnetic field dependence of magnetization at different temperatures. Inset shows the isothermal magnetization curve at \(T = 2 \, \text {K}\) along with the estimated FM and AFM/PM contributions. (b) Low field region of isothermal magnetization at some selected temperatures, \(T = 3 \, \text {K}\) (I), 20 K (II), 30 K (III), and 50 K (IV). (c) Temperature dependence of coercive field. Solid line is guide to the eye.