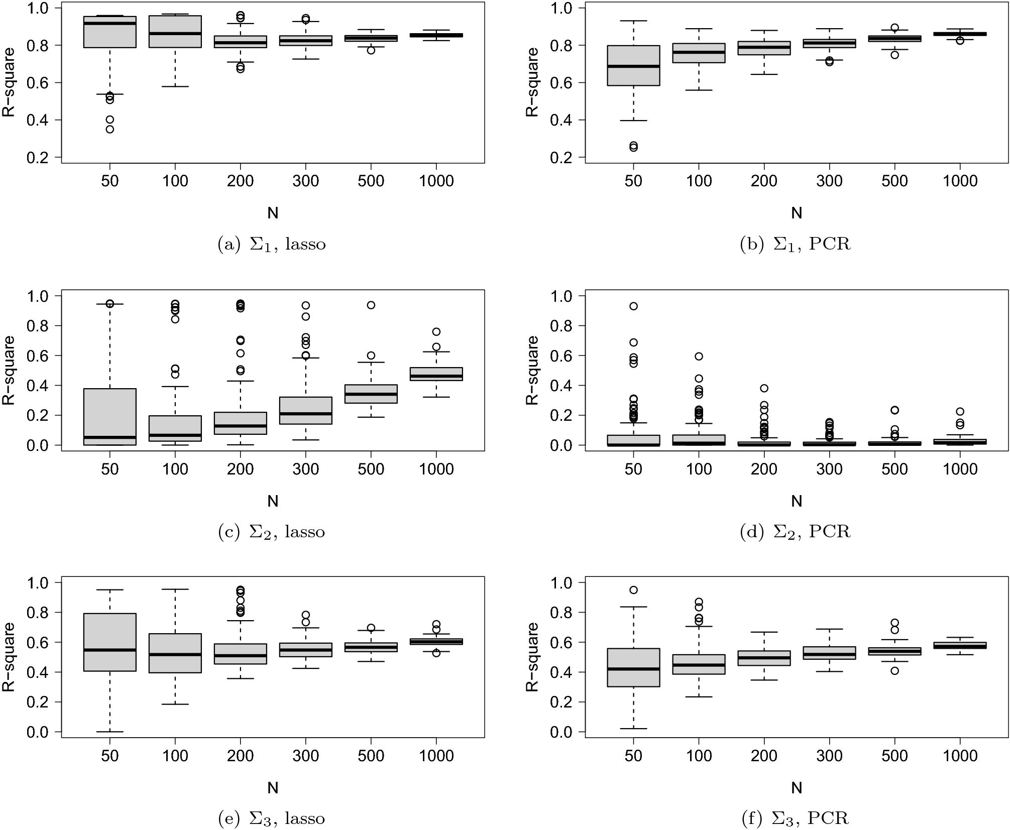
Figure 5

Box and whisker plot of \(R^2\). The variance-covariance matrix used in the simulations is \(\Sigma _{1}\) in (a, b), \(\Sigma _{2}\) in (c, d), and \(\Sigma _{3}\) in (e, f). The regression model is estimated by the lasso in (a), (c), and (e) and by PCR in (b), (d), and (f).