Figure 3
From: First theoretical determination of relative biological effectiveness of very high energy electrons

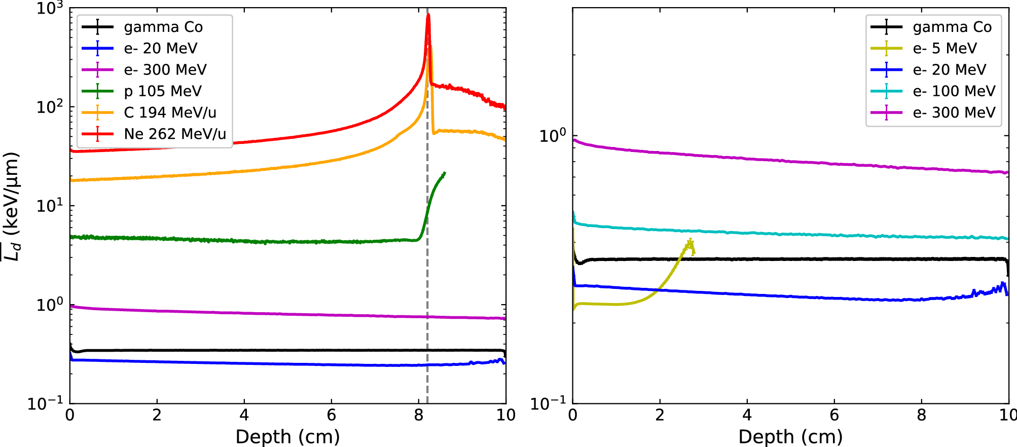
Dose-averaged LET profiles in depth to water for photon, clinical electrons, VHEE and ion beams (left), and details of the \(\overline{{L_{d} }} { }\) results for all electron beam energies (right). The vertical grey dashed line marks the Bragg peak position. \(\overline{{L_{d} }} { }\) values associated to doses lower than 0.1% of max dose are not shown to keep statistical relevance. Uncertainties on \(\overline{{L_{d} }} { }\) values in central axis voxels are less than 2%.