Figure 2

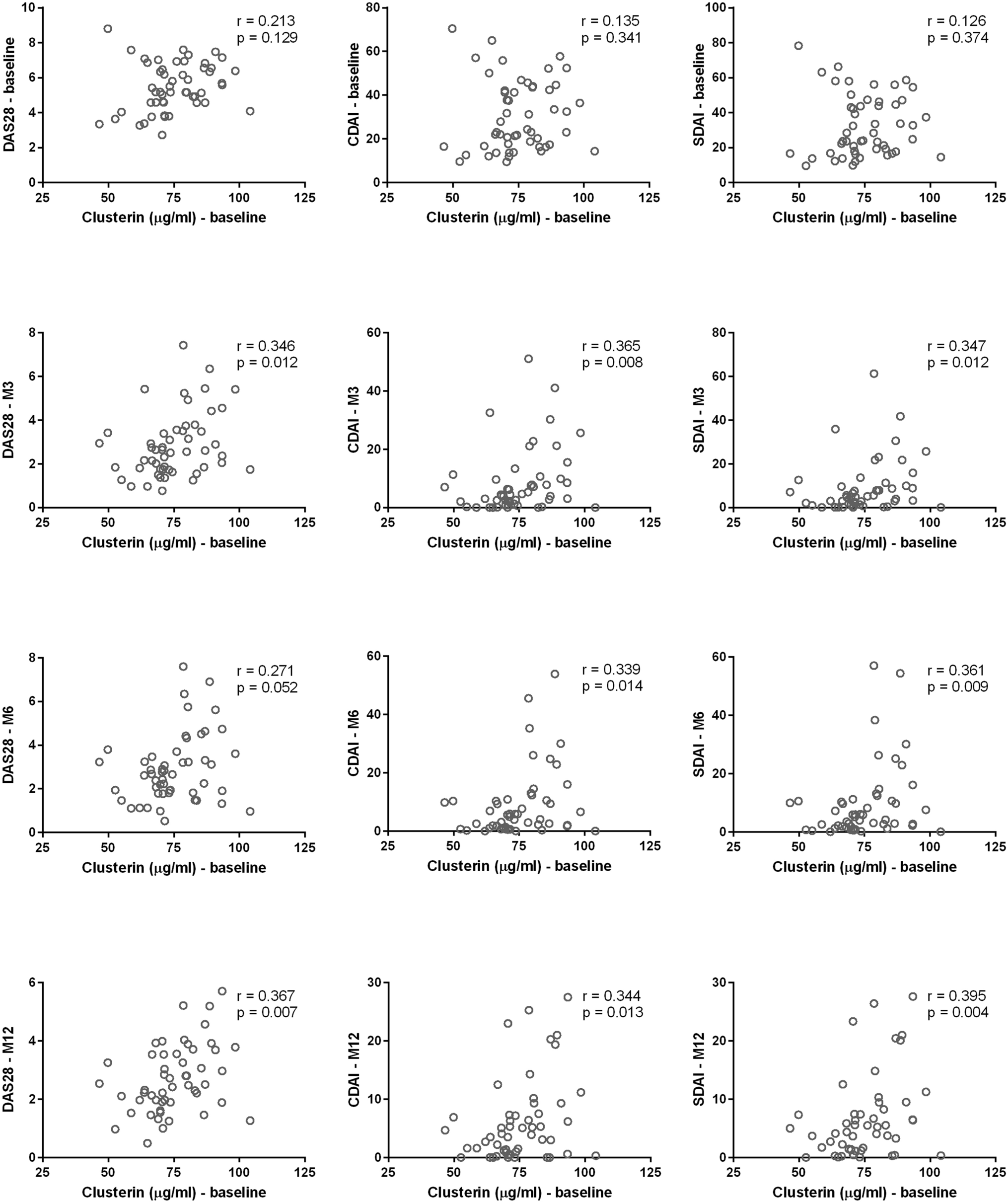
Correlations between baseline clusterin levels and disease activity according to the CDAI, SDAI and DAS28 at baseline and months 3 (M3), 6 (M6) and 12 (M12) after treatment initiation.

Correlations between baseline clusterin levels and disease activity according to the CDAI, SDAI and DAS28 at baseline and months 3 (M3), 6 (M6) and 12 (M12) after treatment initiation.